|
|
|
3D surf plot mit verschieden langen Vektoren |
|
| Trash_84 |

Forum-Anfänger
|
 |
Beiträge: 21
|
 |
|
 |
Anmeldedatum: 16.11.15
|
 |
|
 |
Wohnort: Berlin
|
 |
|
 |
Version: ---
|
 |
|
|
 |
|
Verfasst am: 09.09.2017, 20:44
Titel: 3D surf plot mit verschieden langen Vektoren
|
 |
| |
 |
|
Halli Hallo alle zusammen,
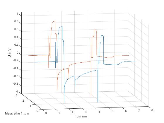
ich hab da mal ein ziemlich verzwicktes "Plotproblem". Und zwar möchte ich den Verlauf von parallel aufgenommenen Signalen sozusagen hintereinander in einem surface plot darstellen. Da die Messung zeitlich sehr hoch aufgelöst durchgeführt wurde um Sprungverhalten gut abbilden zu können besteht ein Datenvektor für etwa 8min Messung aus ca. 230T Messpunkten. Wenn ich diese Vektoren nun in einem surf plot ausgebe habe ich sehr viele schwarze Linien und man kann den Verlauf des Signals nicht wirklich gut erkennen (siehe Anhang Grafik 1). Auch wenn ich die Linien ausblende bin ich von dem Ergebnis nicht wirklich überzeugt (Grafik 2). Daher habe ich mich mit einem Algorithmus (ein Dank geht an Epfi!) daran gemacht "überflüssige" Messpunkte zu eliminieren ohne dabei aber irgendwelche Peaks "wegzumitteln". Das heißt ich habe nun 36 gekürzte Vektoren (bestehend aus Zeit und Messwerten) welche ich jeweils einzeln in einem normalen Plot wunderbar darstellen kann (plot(x1,y1,x2,y2,...)
Und nun meine Frage - kann man das in irgendeiner Weise auch auf einen 3d-Plot anwenden? Also ist es irgendwie möglich aus Vektoren unterschiedlicher Länge einen 3d-Plot zu erstellen (wobei der Zeit- und Datenvektor für ein Signal jeweils gleichlang ist)? Der Start und Endwert des Zeitvektors ist dabei jedesmal identisch, nur die Anzahl der Elemente ist unterschiedlich zwischen den Messsignalen.
Ich würde mich über Vorschläge / Ideen / Anregungen echt freuen
Vielen Dank schonmal
-der Trash-
| Beschreibung: |
|
 Download |
| Dateiname: |
plot3.jpg |
| Dateigröße: |
24.22 KB |
| Heruntergeladen: |
493 mal |
| Beschreibung: |
|
 Download |
| Dateiname: |
surf_oL.jpg |
| Dateigröße: |
17.96 KB |
| Heruntergeladen: |
560 mal |
| Beschreibung: |
|
 Download |
| Dateiname: |
surf_mL.jpg |
| Dateigröße: |
21.81 KB |
| Heruntergeladen: |
547 mal |
|
|
|
|
|
|
| Andy386 |

Forum-Guru
|
 |
Beiträge: 485
|
 |
|
 |
Anmeldedatum: 24.06.09
|
 |
|
 |
Wohnort: ---
|
 |
|
 |
Version: 7.1/8
|
 |
|
|
 |
|
Verfasst am: 04.10.2017, 18:04
Titel:
|
 |
" kann man das in irgendeiner Weise auch auf einen 3d-Plot anwenden? "
sieht fast so aus, als hättest du das bereits getan....
wie auch immer, ohne den Code zu kennen wird da keiner helfen können. Und dann braucht es noch Beispieldaten..
_________________
Ich hasse es wenn die Leute Fragen stellen, man dann versucht sich Mühe zu geben, und diejenigen ihren Thread nie wieder besuchen...
|
|
|
|
|
|
|
Einstellungen und Berechtigungen
|
|
Du kannst Beiträge in dieses Forum schreiben. Du kannst auf Beiträge in diesem Forum antworten. Du kannst deine Beiträge in diesem Forum nicht bearbeiten. Du kannst deine Beiträge in diesem Forum nicht löschen. Du kannst an Umfragen in diesem Forum nicht mitmachen. Du kannst Dateien in diesem Forum posten Du kannst Dateien in diesem Forum herunterladen
|
|
Impressum
| Nutzungsbedingungen
| Datenschutz
| FAQ
| RSS
Hosted by:
Copyright © 2007 - 2026
goMatlab.de | Dies ist keine offizielle Website der Firma The Mathworks
MATLAB, Simulink, Stateflow, Handle Graphics, Real-Time Workshop, SimBiology, SimHydraulics, SimEvents, and xPC TargetBox are registered trademarks and The MathWorks, the L-shaped membrane logo, and Embedded MATLAB are trademarks of The MathWorks, Inc.
|
|