|
|
|
Analyse eines dynamischen Modells auf Unsicherheiten |
|
| XTTR |

Forum-Newbie
|
 |
Beiträge: 1
|
 |
|
 |
Anmeldedatum: 01.09.16
|
 |
|
 |
Wohnort: ---
|
 |
|
 |
Version: ---
|
 |
|
|
 |
|
Verfasst am: 10.12.2016, 19:14
Titel: Analyse eines dynamischen Modells auf Unsicherheiten
|
 |
| |
 |
|
Hallo zusammen,
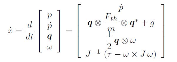
gegeben ist folgendes dynamisches Modell eines Quadcopters (siehe Anhang), welches mit einem entsprechenden Regler zu einer geschlossenen Kette verbunden ist.
Meine Aufgabe ist nun, dieses System auf Unsicherheiten zu überprüfen, bzw. es unter Berücksichtigung von Unsicherheiten zu simulieren.
Mein erster Ansatz dazu wäre, den 'Uncertain State Space Block' zu nutzen, also die Systemgleichungen in diesem Block zu hinterlegen mit den entsprechenden unsicheren Parametern (J, tau, F_th, g, m).
Dazu wäre es allerdings erforderlich, den Zustandsvektor aus diesen Gleichungen zu extrahieren (aufgrund der ss-Syntax aus Matlab), um die Systemmatrix usw. eingeben zu können. Hierbei taucht nun das Problem auf, dass komplizierte Operanden (Kreuzprodukt und dyadisches Produkt) vorhanden sind und ich nicht weiß, wie ich damit verfahren soll.
Weiterhin würde mich interessieren, ob dieser Ansatz hinreichend ist, oder ob es bessere und effizientere Alternativen zur Simulation des Modells unter Unsicherheiten gibt.
Besten Dank im Voraus!
| Beschreibung: |
|
 Download |
| Dateiname: |
Quadcopter_System.JPG |
| Dateigröße: |
20.28 KB |
| Heruntergeladen: |
834 mal |
|
|
|
|
|
|
| Erano1 |

Forum-Fortgeschrittener
|
 |
Beiträge: 59
|
 |
|
 |
Anmeldedatum: 26.04.16
|
 |
|
 |
Wohnort: ---
|
 |
|
 |
Version: ---
|
 |
|
|
 |
|
Verfasst am: 18.12.2016, 23:54
Titel:
|
 |
Hallo,
hast du das System schon implementiert? Als einfachste Lösung würde mir die Implementierung der rechten Seite der DGL als Matlab-Function (https://de.mathworks.com/help/simulink/ug/creating-an-example-model-that-uses-a-matlab-function-block.html) einfallen. Dort kannst du die Gleichungen so wie du sie gegeben hast als Funktion in Matlab schreiben (Kreuzprodukte kannst du ja von Hand erst berechnen). Als Eingang der Funktion kannst du die Zeit in Simulink (falls es ein zeitvariantes System ist), den Zustand (auch den Anfangszustand) selber und das Eingangssignal verwenden.
Was hast du für einen Regler entworfen? Sicher eine Möglichkeit den Regler mit den optimalen Parameter (wurden die alle gemessen oder entstanden welche mithilfe einer Parameteroptimierung?) zu entwerfen und anschließend mit veränderten Modellparameter zu überprüfen, ob der Regler das System immer noch stabilisiert.
Grüße,
Erano1
|
|
|
|
|
|
|
Einstellungen und Berechtigungen
|
|
Du kannst Beiträge in dieses Forum schreiben. Du kannst auf Beiträge in diesem Forum antworten. Du kannst deine Beiträge in diesem Forum nicht bearbeiten. Du kannst deine Beiträge in diesem Forum nicht löschen. Du kannst an Umfragen in diesem Forum nicht mitmachen. Du kannst Dateien in diesem Forum posten Du kannst Dateien in diesem Forum herunterladen
|
|
Impressum
| Nutzungsbedingungen
| Datenschutz
| FAQ
| RSS
Hosted by:
Copyright © 2007 - 2026
goMatlab.de | Dies ist keine offizielle Website der Firma The Mathworks
MATLAB, Simulink, Stateflow, Handle Graphics, Real-Time Workshop, SimBiology, SimHydraulics, SimEvents, and xPC TargetBox are registered trademarks and The MathWorks, the L-shaped membrane logo, and Embedded MATLAB are trademarks of The MathWorks, Inc.
|
|