|
|
|
"Anhänger fährt in ein Schlagloch" Programmierhi |
|
| Babsi144 |

Forum-Newbie
|
 |
Beiträge: 2
|
 |
|
 |
Anmeldedatum: 22.11.13
|
 |
|
 |
Wohnort: ---
|
 |
|
 |
Version: ---
|
 |
|
|
 |
|
Verfasst am: 02.12.2013, 00:29
Titel: "Anhänger fährt in ein Schlagloch" Programmierhi
|
 |
| |
 |
|
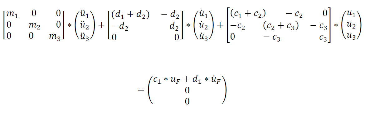
Ich habe leider nur ein paar Grundkenntnisse, was Matlab und die allgemeine Programmiersprache in C angeht, möchte aber durch Selbstversuch diese Kenntnisse vertiefen und hoffe ihr könnt mir etwas Hilfestellung geben...Vielen Dank schon einmal.
Ich hab mir folgende Frage gestellt:
Ich fahre mit einem "billig" Baumarkt Anhänger, mit irgendeiner Ladung in ein Schlagloch. Ich möchte nun rausfinden, bei welcher Geschwindigkeit meine Ladung "davonfliegt".
Die Gleichungen hierzu habe ich bereits hergeleitet.
Bode Diagramm oder Variablendefinition denk ich weiss ich. Werd ich morgen mal machen und hier noch einstellen. Auch wie man eine 2x2 Matrix in Matlab eingibt, aber hier habe ich ja eine 3x3 Matrix.
Normalerweise würde ich die Übertragungsfunktion mit:
y = tf(num,den)
beschreiben, aber nun hab ich ja drei Zeilen.
Kann mir jemand helfen?
Vielen Dank
Babsi
| Beschreibung: |
|
 Download |
| Dateiname: |
Gleichung.PNG |
| Dateigröße: |
20.85 KB |
| Heruntergeladen: |
453 mal |
| Beschreibung: |
|
 Download |
| Dateiname: |
Anhängermodell.PNG |
| Dateigröße: |
10.27 KB |
| Heruntergeladen: |
449 mal |
|
|
|
|
|
|
| Babsi144 |
Themenstarter

Forum-Newbie
|
 |
Beiträge: 2
|
 |
|
 |
Anmeldedatum: 22.11.13
|
 |
|
 |
Wohnort: ---
|
 |
|
 |
Version: ---
|
 |
|
|
 |
|
Verfasst am: 02.12.2013, 21:59
Titel:
|
 |
Hier noch das, was ich bis jetzt so alles eingetippt hab in MATLAB.
| Beschreibung: |
| Die Steifigkeit der dritten Feder kann ich mir überhaupt nicht vorstellen...muss ich dazu einfach mal ein paar Zahlenwerte testen oder kann mir jemand einen realistischen Wert nennen? |
|
 Download |
| Dateiname: |
Projekt_Teil1.png |
| Dateigröße: |
20.89 KB |
| Heruntergeladen: |
426 mal |
| Beschreibung: |
Zudem, denke ich, dass ich bei "A" etwas verändern muss, da sich diese Matrix jetzt noch auf eine 2x2 Matrix bezieht. Aber wie? Weiter unten hab ich einfach mal ein Bode-Diagramm für die Resonanzfrequenz eingegeben. Brauch ich das so in der Fo |
|
 Download |
| Dateiname: |
Projekt_Teil2.png |
| Dateigröße: |
46.46 KB |
| Heruntergeladen: |
440 mal |
| Beschreibung: |
| Diesen Fehler bringt mir das Programm |
|
 Download |
| Dateiname: |
Projekt_Teil_Command.png |
| Dateigröße: |
35.71 KB |
| Heruntergeladen: |
430 mal |
|
|
|
|
| reichkrystofski |

Forum-Anfänger
|
 |
Beiträge: 34
|
 |
|
 |
Anmeldedatum: 26.11.13
|
 |
|
 |
Wohnort: Biederitz
|
 |
|
 |
Version: 2006b 32bit, 2009b 64bit
|
 |
|
|
 |
|
Verfasst am: 02.12.2013, 23:04
Titel:
|
 |
Nicht dass ich deine Frage oder die Physik hinter deinem Vorhaben verstanden hätte, aber die Fehlermeldung sagt dir eindeutig, dass die Dimensionen deiner Matrizen die du aneinanderhängen möchtest, nicht konsistent sind.
Du möchtest zwei 3x3 Matritzen an zwei 2x2 Matrizen anfügen, also eine 6 spaltige an eine 4 spaltige Matrix. Wie wärs mit
|
|
|
|
| reichkrystofski |

Forum-Anfänger
|
 |
Beiträge: 34
|
 |
|
 |
Anmeldedatum: 26.11.13
|
 |
|
 |
Wohnort: Biederitz
|
 |
|
 |
Version: 2006b 32bit, 2009b 64bit
|
 |
|
|
 |
|
Verfasst am: 02.12.2013, 23:15
Titel:
|
 |
Beim genaueren Hinsehen sah ich, dass D nur zwei Spalten hat. Das Problem bleibt das gleiche. 4 und 5 Spalten passen nicht zusammen.
Dabei stelle ich mir auch die Frage, ob deine gepostete Gleichung mathematisch richtig ist. Wie willst du das zweispaltige D mit einem 3elemente Vektor multiplizieren?
|
|
|
|
|
|
|
Einstellungen und Berechtigungen
|
|
Du kannst Beiträge in dieses Forum schreiben. Du kannst auf Beiträge in diesem Forum antworten. Du kannst deine Beiträge in diesem Forum nicht bearbeiten. Du kannst deine Beiträge in diesem Forum nicht löschen. Du kannst an Umfragen in diesem Forum nicht mitmachen. Du kannst Dateien in diesem Forum posten Du kannst Dateien in diesem Forum herunterladen
|
|
Impressum
| Nutzungsbedingungen
| Datenschutz
| FAQ
| RSS
Hosted by:
Copyright © 2007 - 2026
goMatlab.de | Dies ist keine offizielle Website der Firma The Mathworks
MATLAB, Simulink, Stateflow, Handle Graphics, Real-Time Workshop, SimBiology, SimHydraulics, SimEvents, and xPC TargetBox are registered trademarks and The MathWorks, the L-shaped membrane logo, and Embedded MATLAB are trademarks of The MathWorks, Inc.
|
|