WICHTIG: Der Betrieb von goMatlab.de wird privat finanziert fortgesetzt. - Mehr Infos...

Mein MATLAB Forum - goMatlab.de

Mein MATLAB Forum

 
Gast > Registrieren       Autologin?   

Partner:




Forum
      Option
[Erweitert]
  • Diese Seite per Mail weiterempfehlen
     


Gehe zu:  
Neues Thema eröffnen Neue Antwort erstellen

Ausgleichsgerade mit fixiertem Endpunkt

 

keep_isi
Forum-Newbie

Forum-Newbie


Beiträge: 4
Anmeldedatum: 17.11.15
Wohnort: ---
Version: ---
     Beitrag Verfasst am: 17.11.2015, 12:48     Titel: Ausgleichsgerade mit fixiertem Endpunkt
  Antworten mit Zitat      
Hallo Leute,
ich bin neu hier und das ist mein erster Beitrag also bitte verzeiht mir wenn etwas nicht korrekt dargestellt ist etc. Wink

Also mein Problem:

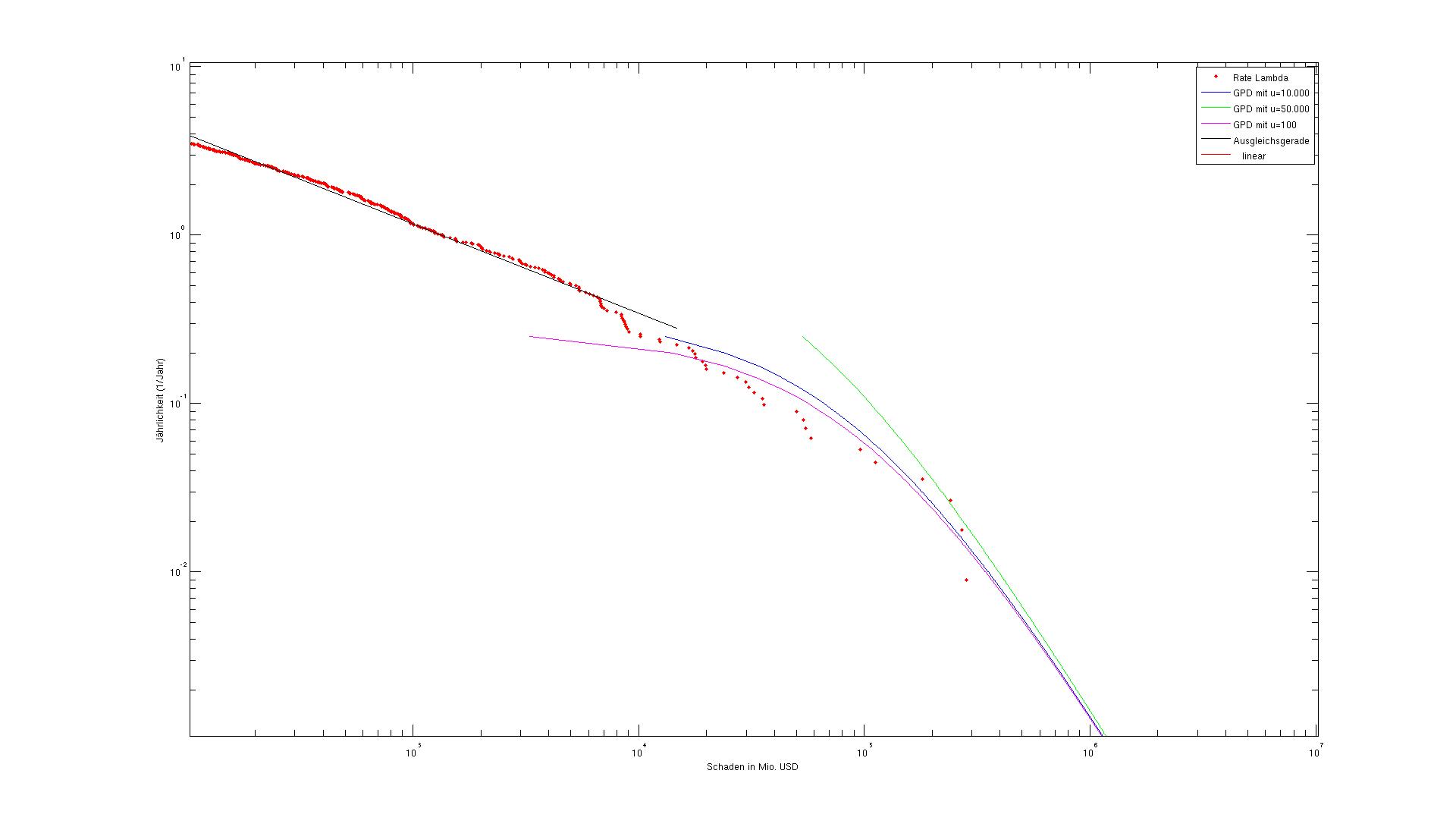
Ich habe einen loglog Plot (Bild ist hoffentlich angehängt) mit einer Ausgleichsgeraden für die unteren Werte und drei Anpassungen an die Extremwerte. Ich möchte nun allerdings, dass die Ausgleichsgerade dort aufhört, wo die blaue Kurve anfängt. Also praktisch einen fixierten Punkt aber dennoch einen besten Fit für die unteren Datenpunkte. Ist das einigermaßen verständlich ausgedrückt?
Kurzfassung: Ausgleichsgerade und blaue Kurve sollen stetig ineinander übergehen.......

mein Code der wichtig ist:

Code:

K=sort(A(:,1));
for b=1:length(K)
    F(b)=(length(K)-b)/112;
b=b+1;
end
F_T=transp(F);
K_T=[K,F_T];
K_S=K_T((K_T(:,1)) <=14750,:);
fit=polyfit(log(K_S(:,1)),log(K_S(:,2)),1);
steigung=1/fit(1,1);
x1=min(K_S(:,1)):0.1:max(K_S(:,1));
y1=exp(fit(1)*log(x1)+fit(2));
h1=figure;
loglog(K,F,'r.',X_T,T_plot,'b', X_S,T_plott,'g',X_L,T_plottt,'m',x1,y1,'k');
legend('Rate Lambda','GPD mit u=10.000', 'GPD mit u=50.000','GPD mit u=100', 'Ausgleichsgerade');
xlabel('Schaden in Mio. USD');
ylabel('Jährlichkeit (1/Jahr)');
 


steigung.jpg
 Beschreibung:

Download
 Dateiname:  steigung.jpg
 Dateigröße:  78.04 KB
 Heruntergeladen:  480 mal
Private Nachricht senden Benutzer-Profile anzeigen


Neues Thema eröffnen Neue Antwort erstellen



Einstellungen und Berechtigungen
Beiträge der letzten Zeit anzeigen:

Du kannst Beiträge in dieses Forum schreiben.
Du kannst auf Beiträge in diesem Forum antworten.
Du kannst deine Beiträge in diesem Forum nicht bearbeiten.
Du kannst deine Beiträge in diesem Forum nicht löschen.
Du kannst an Umfragen in diesem Forum nicht mitmachen.
Du kannst Dateien in diesem Forum posten
Du kannst Dateien in diesem Forum herunterladen
.





 Impressum  | Nutzungsbedingungen  | Datenschutz | FAQ | goMatlab RSS Button RSS

Hosted by:


Copyright © 2007 - 2026 goMatlab.de | Dies ist keine offizielle Website der Firma The Mathworks

MATLAB, Simulink, Stateflow, Handle Graphics, Real-Time Workshop, SimBiology, SimHydraulics, SimEvents, and xPC TargetBox are registered trademarks and The MathWorks, the L-shaped membrane logo, and Embedded MATLAB are trademarks of The MathWorks, Inc.