WICHTIG: Der Betrieb von goMatlab.de wird privat finanziert fortgesetzt. - Mehr Infos...

Mein MATLAB Forum - goMatlab.de

Mein MATLAB Forum

 
Gast > Registrieren       Autologin?   

Partner:




Forum
      Option
[Erweitert]
  • Diese Seite per Mail weiterempfehlen
     


Gehe zu:  
Neues Thema eröffnen Neue Antwort erstellen

Berechnung der radialen Druckgleichung

 

enrico
Forum-Newbie

Forum-Newbie


Beiträge: 1
Anmeldedatum: 02.06.12
Wohnort: ---
Version: ---
     Beitrag Verfasst am: 02.06.2012, 15:23     Titel: Berechnung der radialen Druckgleichung
  Antworten mit Zitat      
Hallo Liebes MatLab-Forum,

ich bin total neu hier und habe eine Problemstellung die ich mit meinen bisherigen MatLab-Kenntnissen nicht in Griff bekomme.

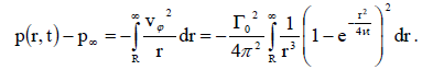
Ziel ist es die Druckverteilung in Abhängigkeit von der Zeit in einem sogenannten Hamel-Oseen Wirbel zu berechnen. Grundlage bildet hierbei die Formel im Anhang.
Ziel ist es nachher die Daten auf einem entsprechenden Gitter auszugeben.

Nun arbeite ich mit via meshgrid erzeugten Matrizen für die Koordinaten. Ich habe bereits festgestellt, dass eine Integration mit Matrizen nicht möglich ist. Meine Idee war die Matrizen einfach mit reshape in Vektoren umzuschreiben und somit zu integrieren. Funktioniert aber auch nicht richtig. Ich bin was Integration und lösen von DGLs in Matlab noch völlig unerfahren und habe noch nicht die Struktur dahinter verstanden.
Daher bitte ich euch höflichst um Hilfe in diesem Fall. Mein bisheriger Code sieht wie folgt aus.

Code:

%Ansatz: Hamel-Oseen Wirbel
%Kernbereich übt eine Festkörperrotation aus
%Mantel entspricht einem Potentialwirbel
clc
clear all
clear all figure

N_r=5;
N_phi=10;
v_phi_0=5;
r_0=2;
A=pi*r_0^2;
Gamma_0=A*v_phi_0;
r=(0/N_r):r_0/(N_r):r_0;
rho=1.181;
eta=1.71*10^-6;
nue=eta/rho;

t=0;
phi=0/N_phi:2*pi/(N_phi):2*pi;
[THETA,RHO]=meshgrid(phi,r);
x=RHO.*cos(THETA);
y=RHO.*sin(THETA);
tend=200;
dt=1;

[Ntheta,Nrho]=size(RHO);
p=100000*ones(Ntheta,Nrho);

j=1;
for i=0:dt:tend

v_phi=Gamma_0./(2*pi*RHO).*(1-exp(-RHO.^2/(4*nue*t)));
figure(1)

subplot(2,2,1)

pcolor(x,y,v_phi)
title(['timestep = ',num2str(i)]);

%p_rad=v_phi.^2./RHO;

%p=p-trapz(reshape(RHO,N_r*N_phi,1),reshape(p_rad,N_r*N_phi,1));
%p=p-quadl(@(RHO)v_phi.^2./RHO,1,2);

subplot(2,2,2)
pcolor(x,y,p)

v_phi_1D=Gamma_0./(2*pi*r).*(1-exp(-r.^2/(4*nue*t)));

subplot(2,2,3)
plot(r,v_phi_1D)

p_1D=p_atm-v_phi_1D.^2./r;

subplot(2,2,4)
plot(r,p_1D)

t=t+i;
j=j+1;
pause(0.1)
end
 


Sollte jemand eine Idee haben, wie ich die Integration durchführen muss dann wäre ich sehr sehr dankbar.

Beste Grüße Enrico

p_rad.png
 Beschreibung:

Download
 Dateiname:  p_rad.png
 Dateigröße:  3.97 KB
 Heruntergeladen:  580 mal
Private Nachricht senden Benutzer-Profile anzeigen


JayvH
Forum-Anfänger

Forum-Anfänger


Beiträge: 36
Anmeldedatum: 19.03.11
Wohnort: Hannover
Version: ---
     Beitrag Verfasst am: 02.06.2012, 22:22     Titel:
  Antworten mit Zitat      
Hallo Enrico,

ich will mich noch nicht zu weit aus dem Fenster lehnen, da ich mit Integrationen in MATLAB auch noch nicht allzu viel zu tun hatte, aber Du hast ja in Deinem Code scheinbar zwei Versuche gestartet. Einmal mit trapz und einmal mit quadl.

Der Befehl trapz dient ja zur numerischen Integration bei vorhandenen x und y-Werten. Machst Du das denn dort? Ich kann leider aus Deinem Code nicht wirklich nachvollziehen, was Du da genau drin stehen hast. Vielleicht wären ein paar Kommentare in jenem hilfreicher.

Bei quadl integrierst Du ja über eine Funktion in Abhängigkeit von RHO, der Parameter v_phi ist aber schon fest eingestellt und keine Variable mehr von RHO, kann jetzt also nicht mehr richtig integriert werden.
Private Nachricht senden Benutzer-Profile anzeigen
 
Neues Thema eröffnen Neue Antwort erstellen



Einstellungen und Berechtigungen
Beiträge der letzten Zeit anzeigen:

Du kannst Beiträge in dieses Forum schreiben.
Du kannst auf Beiträge in diesem Forum antworten.
Du kannst deine Beiträge in diesem Forum nicht bearbeiten.
Du kannst deine Beiträge in diesem Forum nicht löschen.
Du kannst an Umfragen in diesem Forum nicht mitmachen.
Du kannst Dateien in diesem Forum posten
Du kannst Dateien in diesem Forum herunterladen
.





 Impressum  | Nutzungsbedingungen  | Datenschutz | FAQ | goMatlab RSS Button RSS

Hosted by:


Copyright © 2007 - 2026 goMatlab.de | Dies ist keine offizielle Website der Firma The Mathworks

MATLAB, Simulink, Stateflow, Handle Graphics, Real-Time Workshop, SimBiology, SimHydraulics, SimEvents, and xPC TargetBox are registered trademarks and The MathWorks, the L-shaped membrane logo, and Embedded MATLAB are trademarks of The MathWorks, Inc.