|
|
|
Übertragungsfunktion eines LTI-Systems |
|
| Fabi |

Forum-Newbie
|
 |
Beiträge: 1
|
 |
|
 |
Anmeldedatum: 10.09.19
|
 |
|
 |
Wohnort: ---
|
 |
|
 |
Version: ---
|
 |
|
|
 |
|
Verfasst am: 10.09.2019, 16:17
Titel: Übertragungsfunktion eines LTI-Systems
|
 |
| |
 |
|
Hallo allerseits,
ich beschäftige mich erst seit relativ kurzer Zeit mit Reglungstechnik und bin auf eine Aufgabe gestoßen, womit ich meine Probleme habe. Vielleicht könnt Ihr mir da weiterhelfen!
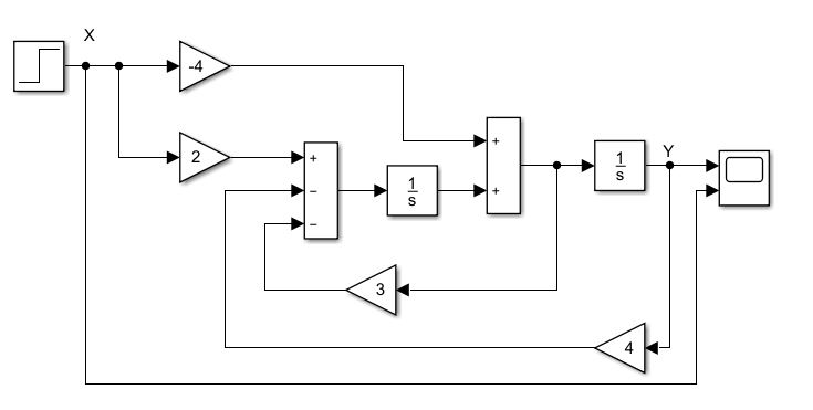
Und zwar geht es darum aus ein Simulink – Modell eines Regelkreises (siehe Anhang) die Übertragungsfunktion G(s)= X(s) / Y(s) zu ermitteln.
Zunächst konnte ich nach der Umstellung in Simulink feststellen, dass es einem PT2-Glied sehr ähnelt. (Bitte korrigiert mich falls ich da falsch liege)
Ein PT2-Glied hat ja bekanntlich die folgende Üfunktion:
Ich konnte somit folgende Üfunktion ermitteln:
Leider Weiß ich mit der Verstärkung -4 nichts anzufangen!
Nehme ich die Verstärkung „3“ als (2*d) an, oder wird die dazu multipliziert?
Danke vorab für eure Hilfe
| Beschreibung: |
|
 Download |
| Dateiname: |
Aufgabe LTI - Modell.JPG |
| Dateigröße: |
26.99 KB |
| Heruntergeladen: |
865 mal |
| Beschreibung: |
|
 Download |
| Dateiname: |
Aufgabe LTI - Modell umgestellt.JPG |
| Dateigröße: |
25.97 KB |
| Heruntergeladen: |
856 mal |
|
|
|
|
|
|
| Mmmartina |

Forum-Meister
|
 |
Beiträge: 745
|
 |
|
 |
Anmeldedatum: 30.10.12
|
 |
|
 |
Wohnort: hier
|
 |
|
 |
Version: R2020a
|
 |
|
|
 |
|
Verfasst am: 19.09.2019, 11:20
Titel: Re: Übertragungsfunktion eines LTI-Systems
|
 |
| Fabi hat Folgendes geschrieben: |
Nehme ich die Verstärkung „3“ als (2*d) an, oder wird die dazu multipliziert?
|
Mit d (eigentlich großes D!) ist ja die Dämpfung gemeint und diese geht im zweiten Glied doppelt ein.
D.h. wenn deine Dämpfung D = 3 ist, dann muss der zweite Term 2*D*T = 2*3*T heißen.
_________________
LG
Martina
"Wenn wir bedenken, daß wir alle verrückt sind, ist das Leben erklärt." (Mark Twain))
|
|
|
|
| Ken-Guru |

Forum-Anfänger
|
 |
Beiträge: 28
|
 |
|
 |
Anmeldedatum: 17.04.19
|
 |
|
 |
Wohnort: ---
|
 |
|
 |
Version: 2018a
|
 |
|
|
 |
|
Verfasst am: 23.09.2019, 11:10
Titel:
|
 |
Hi,
also ich habe dir mal fix im Anhang den Weg zur Übertragungsfunktion aufgeschrieben.
Ich bin auf
gekommen.
Im Nenner ist da ein PT2-Glied im Zähler ist aber noch ein inverses PT1-Glied mit gedrehter Phase.
LG
| Beschreibung: |
|
 Download |
| Dateiname: |
23091900.PDF |
| Dateigröße: |
196.44 KB |
| Heruntergeladen: |
819 mal |
_________________
"Designed to make a difference" - Das Minuszeichen
"If you want a job done well hire a professional" - BER Vorstand
|
|
|
|
|
|
|
Einstellungen und Berechtigungen
|
|
Du kannst Beiträge in dieses Forum schreiben. Du kannst auf Beiträge in diesem Forum antworten. Du kannst deine Beiträge in diesem Forum nicht bearbeiten. Du kannst deine Beiträge in diesem Forum nicht löschen. Du kannst an Umfragen in diesem Forum nicht mitmachen. Du kannst Dateien in diesem Forum posten Du kannst Dateien in diesem Forum herunterladen
|
|
Impressum
| Nutzungsbedingungen
| Datenschutz
| FAQ
| RSS
Hosted by:
Copyright © 2007 - 2026
goMatlab.de | Dies ist keine offizielle Website der Firma The Mathworks
MATLAB, Simulink, Stateflow, Handle Graphics, Real-Time Workshop, SimBiology, SimHydraulics, SimEvents, and xPC TargetBox are registered trademarks and The MathWorks, the L-shaped membrane logo, and Embedded MATLAB are trademarks of The MathWorks, Inc.
|
|