WICHTIG: Der Betrieb von goMatlab.de wird privat finanziert fortgesetzt. - Mehr Infos...

Mein MATLAB Forum - goMatlab.de

Mein MATLAB Forum

 
Gast > Registrieren       Autologin?   

Partner:




Forum
      Option
[Erweitert]
  • Diese Seite per Mail weiterempfehlen
     


Gehe zu:  
Neues Thema eröffnen Neue Antwort erstellen

contour3 in verschiedenen Ebenen plotten

 

Whatagirl
Forum-Anfänger

Forum-Anfänger


Beiträge: 25
Anmeldedatum: 11.08.08
Wohnort: ---
Version: ---
     Beitrag Verfasst am: 16.12.2009, 14:36     Titel: contour3 in verschiedenen Ebenen plotten
  Antworten mit Zitat      
Hallo,

leider finde ich nicht selber die Lösung für mein Problem, weswegen ich hoffe, dass mir hier jemand helfen kann.

Ich habe ein x-y_Gitter erzeugt, in dem ich, für jeden Gitterpunkt einen Wert habe, den ich in eine Matrix C schreibe. Dies kann ich super mit contour plotten. Nun habe ich aber nicht nur x und y-Werte, sondern auch z-Werte. Über eine Schleife erzeuge ich jeweils eine neue C-Matrix mit den Werten, die zu dem jeweiligen z-wert gehören.
Diese Contour-plots plotte ich nun mit contour3, aber alle Cs werden in einer Ebene (der Nullebene) geplotte. Ich möchte natürlich, dass der Contourplot der Matrix C, die zu Z = 1000 gehört in der Ebene Z = 1000 geplottet wird.
Nun habe ich schon versucht die Matrix C mit dem Wert Z zu addieren, aber dann Stimmen natürlich auch nicht mehr die Werte der Matrix.

Code:

% KOnstanten
Q = 30;
vp = 3500;
vs = vp/1.732;
vmin = 10^-6;
rho = 2700;
dsigma = 500000;
K = 2.34;

xmin = 0;
xmax = 3000;
ymin = 0;
ymax = 3000;
zmin = 0;
zmax = 3000;
dx = 1500;
dy = 1500;
dz = 1500;
iend = xmax/dx+1;
jend = ymax/dy+1;
kend = zmax/dz+1;

for k = 1:1:kend
    C = zeros(iend,iend);
    D = zeros(iend,iend);
    E = zeros(iend,iend);
    F = zeros(iend,iend);
    G = zeros(iend,iend);
    zg = zmin-dz+k*dz;
    for i = 1:1:iend;
         for j = 1:1:jend;
             f0 = 10;
             xg = xmin-dx+i*dx;
             yg = ymin-dy+j*dy;    
             % Receiverposition
             xr1 = 2470.5;
             yr1 = 1318.7;
             zr1 = 3000;
             for l = 1:1:5;
                 %Abstand zwischen Gitterpunkten und Receiver
                 R1 = sqrt((xr1-xg)^2+(yr1-yg)^2+(zr1-zg)^2);
                 for m = 1:1:100;
                     vmax1 = vmin/exp(-pi*f0*R1/(Q*vs));
                     M01 = (R1*vmax1*rho*vs/0.0686)^3/dsigma^2;
                     Mw1 = 2/3*log10(M01)-6.1;
                     f1 = K*vs/(2*pi)*(16*dsigma/(7*M01))^(1/3);      
                     if (abs(f1-f0) < 0.1)
                         if l == 1
                               C(j,i) = C(j,i) + Mw1;
                         elseif l == 2
                               D(j,i) = D(j,i) + Mw1;
                         elseif l == 3
                               E(j,i) = E(j,i) + Mw1;
                         elseif l == 4
                               F(j,i) = F(j,i) + Mw1;
                         elseif l == 5
                               G(j,i) = G(j,i) + Mw1;
                         end
                         break      
                     else
                         f0 = f0+(f1-f0)*0.2;
                     end
                 end
             end
         end
    end
    figure(1)
    x = xmin:dx:xmax;
    y = ymin:dy:ymax;
    [X,Y] = meshgrid(x,y);
    [A,B] = contour3(X,Y,C);
    axis('equal')
    xlim([xmin xmax])
    ylim([ymin ymax])
    zlim([zmin zmax])
    grid on
    t = colorbar;
    set(gca,'zdir','reverse')
    hold on
end
 


Raus kommt dabei folgendes:

Vielen Dank für eure Hilfe.

Gruß Christine

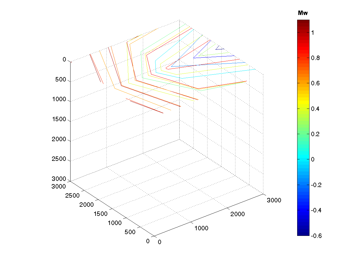
2.png
 Beschreibung:
Die sind in den richtigen Ebenen, aber mit den falschen Eerten, weil der jeweilige z_wert draufaddiert wurde. (contour3(X,Y,C+zg))

Download
 Dateiname:  2.png
 Dateigröße:  29 KB
 Heruntergeladen:  675 mal
1.png
 Beschreibung:
Die sind in einer Ebene

Download
 Dateiname:  1.png
 Dateigröße:  29.24 KB
 Heruntergeladen:  642 mal
Private Nachricht senden Benutzer-Profile anzeigen


Whatagirl
Themenstarter

Forum-Anfänger

Forum-Anfänger


Beiträge: 25
Anmeldedatum: 11.08.08
Wohnort: ---
Version: ---
     Beitrag Verfasst am: 16.12.2009, 15:32     Titel:
  Antworten mit Zitat      
Jetzt habe ich erst gesehen,. dass es gar nicht die Nullebene ist, sondern die Ebene die jeweils der Wert der Matrix ist, das ist noch schlechter.
Gibt es denn vielleicht eine andere Möglichkeit als contour3?
Private Nachricht senden Benutzer-Profile anzeigen
 
LittleX
Forum-Guru

Forum-Guru


Beiträge: 494
Anmeldedatum: 14.05.09
Wohnort: ---
Version: ---
     Beitrag Verfasst am: 16.12.2009, 16:16     Titel:
  Antworten mit Zitat      
Hallo,

schau Dir mal den Befehl contourslice an. Geht das in die richtige Richtung?

Viele Grüße,

LittleX
Private Nachricht senden Benutzer-Profile anzeigen
 
Whatagirl
Themenstarter

Forum-Anfänger

Forum-Anfänger


Beiträge: 25
Anmeldedatum: 11.08.08
Wohnort: ---
Version: ---
     Beitrag Verfasst am: 16.12.2009, 16:21     Titel:
  Antworten mit Zitat      
Damit habe ich auch schon gebastelt, aber ich verstehe nicht, wei das geht.

Also ich habe mir das Beispiel aus der Hilfe angesehen, aber irgendwie weiß ich nicht, wie ich das aus meine Sache anwenden soll:
Private Nachricht senden Benutzer-Profile anzeigen
 
Neues Thema eröffnen Neue Antwort erstellen



Einstellungen und Berechtigungen
Beiträge der letzten Zeit anzeigen:

Du kannst Beiträge in dieses Forum schreiben.
Du kannst auf Beiträge in diesem Forum antworten.
Du kannst deine Beiträge in diesem Forum nicht bearbeiten.
Du kannst deine Beiträge in diesem Forum nicht löschen.
Du kannst an Umfragen in diesem Forum nicht mitmachen.
Du kannst Dateien in diesem Forum posten
Du kannst Dateien in diesem Forum herunterladen
.





 Impressum  | Nutzungsbedingungen  | Datenschutz | FAQ | goMatlab RSS Button RSS

Hosted by:


Copyright © 2007 - 2026 goMatlab.de | Dies ist keine offizielle Website der Firma The Mathworks

MATLAB, Simulink, Stateflow, Handle Graphics, Real-Time Workshop, SimBiology, SimHydraulics, SimEvents, and xPC TargetBox are registered trademarks and The MathWorks, the L-shaped membrane logo, and Embedded MATLAB are trademarks of The MathWorks, Inc.