|
|
|
DGL Code in Matlab einfügen |
|
| ocen |

Forum-Newbie
|
 |
Beiträge: 1
|
 |
|
 |
Anmeldedatum: 16.04.19
|
 |
|
 |
Wohnort: ---
|
 |
|
 |
Version: ---
|
 |
|
|
 |
|
Verfasst am: 16.04.2019, 13:32
Titel: DGL Code in Matlab einfügen
|
 |
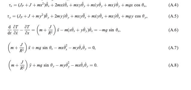
Hallo, mein Problem ist, dass ich eine DGL eines Balls auf einer Platte bei Matlab einfügen muss. Leider kann ich es nicht mit Simulink machen, weil ich danach eine Bahnplanung durchführen muss.
Die DGL ist im Anhang angegeben.
Mein Problem ist, dass ich nicht weiß, wie ich eine Variable in Matlab einfüge, sodass ich am ende das System als DGL Simulieren kann in Matlab.
Kann mir da einer weiterhelfen?
VG
| Beschreibung: |
|
 Download |
| Dateiname: |
Bildschirmfoto 2019-04-16 um 13.29.50.png |
| Dateigröße: |
42.05 KB |
| Heruntergeladen: |
857 mal |
|
|
|
|
|
|
|
|
|
Einstellungen und Berechtigungen
|
|
Du kannst Beiträge in dieses Forum schreiben. Du kannst auf Beiträge in diesem Forum antworten. Du kannst deine Beiträge in diesem Forum nicht bearbeiten. Du kannst deine Beiträge in diesem Forum nicht löschen. Du kannst an Umfragen in diesem Forum nicht mitmachen. Du kannst Dateien in diesem Forum posten Du kannst Dateien in diesem Forum herunterladen
|
|
Impressum
| Nutzungsbedingungen
| Datenschutz
| FAQ
| RSS
Hosted by:
Copyright © 2007 - 2026
goMatlab.de | Dies ist keine offizielle Website der Firma The Mathworks
MATLAB, Simulink, Stateflow, Handle Graphics, Real-Time Workshop, SimBiology, SimHydraulics, SimEvents, and xPC TargetBox are registered trademarks and The MathWorks, the L-shaped membrane logo, and Embedded MATLAB are trademarks of The MathWorks, Inc.
|
|