|
|
| maxmatz |
Gast
|
 |
Beiträge: ---
|
 |
|
 |
Anmeldedatum: ---
|
 |
|
 |
Wohnort: ---
|
 |
|
 |
Version: ---
|
 |
|
|
 |
|
Verfasst am: 04.01.2017, 15:13
Titel: DGL lösen
|
 |
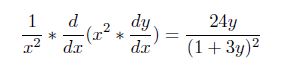
hallo ich wil die DGL, die ich als Datei angehängt habe Lösen.
Ich habe eine ungefähre Vorstellung wie man mit dem ode45 solver umgeht, hatte aber noch nie eine verschachtelte funktion und weiß jetz einfach nicht weiter. jeder tipp wäre hilfreich
Danke
| Beschreibung: |
|
 Download |
| Dateiname: |
DGL.JPG |
| Dateigröße: |
11.09 KB |
| Heruntergeladen: |
851 mal |
|
|
|
|
|
|
| Jan S |

Moderator
|
 |
Beiträge: 11.057
|
 |
|
 |
Anmeldedatum: 08.07.10
|
 |
|
 |
Wohnort: Heidelberg
|
 |
|
 |
Version: 2009a, 2016b
|
 |
|
|
 |
|
Verfasst am: 04.01.2017, 15:43
Titel: Re: DGL lösen
|
 |
Hallo maxmatz,
Du kannst die Ableitung nach x per Produkt-Regel auf die beiden Terme anwenden. Das ergibt 2*x*dy/dx + x^2*dy/dx^2. Wird es dann klarer?
Gruß, Jan
|
|
|
|
| maxmatz |
Gast
|
 |
Beiträge: ---
|
 |
|
 |
Anmeldedatum: ---
|
 |
|
 |
Wohnort: ---
|
 |
|
 |
Version: ---
|
 |
|
|
 |
|
Verfasst am: 04.01.2017, 16:50
Titel:
|
 |
jap da war das brett vorm kopf
aber daraus ergibt sich ne andere frage.
ich hab die prod. regel angewandt und dann die dgl 2. ordung in ein system erster ordnung transfromiert. ich hab auch schon den code für die rechte seite ( auf den der funktionszeiger bei der ode zeigen soll implementiert. hier:
u soll für y stehen und s für x
den ode45 kann ich jetzt nicht wirklich anwenden oder ? denn ich habe kein Anfangswertproblem
ich wollte dann einen solver für Randwertprobleme nehmen, hab in der doc nachgeschaut aber ich werde leider nciht draus schlau wie ich den zu benutzen habe bzw. wie ich meine randwerte übergebe
randwerte sind:
u(1)=1; u´(0)=0
danke für die hilfe
[EDITED, Jan, Bitte Code-Umgebung verwenden - Danke!]
|
|
|
|
| Jan S |

Moderator
|
 |
Beiträge: 11.057
|
 |
|
 |
Anmeldedatum: 08.07.10
|
 |
|
 |
Wohnort: Heidelberg
|
 |
|
 |
Version: 2009a, 2016b
|
 |
|
|
 |
|
Verfasst am: 04.01.2017, 17:08
Titel:
|
 |
Hallo maxmatz,
Dann hast Du ein Boundary Value Problem. Siehe
bvp4c
und
bvp5c
.
Gruß, Jan
|
|
|
|
| maxmatz |
Gast
|
 |
Beiträge: ---
|
 |
|
 |
Anmeldedatum: ---
|
 |
|
 |
Wohnort: ---
|
 |
|
 |
Version: ---
|
 |
|
|
 |
|
Verfasst am: 04.01.2017, 17:26
Titel:
|
 |
leider steht da nicht wie ich die randbedingung u´(0)=0
sondern nur randbedingungen vom typ u(1)=1
|
|
|
|
| Jan S |

Moderator
|
 |
Beiträge: 11.057
|
 |
|
 |
Anmeldedatum: 08.07.10
|
 |
|
 |
Wohnort: Heidelberg
|
 |
|
 |
Version: 2009a, 2016b
|
 |
|
|
 |
|
Verfasst am: 05.01.2017, 15:53
Titel:
|
 |
Hallo maxmatz,
Und? Das wäre ja reichlich blöde einen BVP-Löser zu schreiben, der solche Standard-Aufgaben nicht lösen kann.
u' ist doch die zweite Komponente des Vektors u. Die Methdoe u(t=1)=1 zu setzen kann man also ganz exakt auch für u'(t=0)=0 anwenden.
Gruß, Jan
|
|
|
|
|
|
|
Einstellungen und Berechtigungen
|
|
Du kannst Beiträge in dieses Forum schreiben. Du kannst auf Beiträge in diesem Forum antworten. Du kannst deine Beiträge in diesem Forum nicht bearbeiten. Du kannst deine Beiträge in diesem Forum nicht löschen. Du kannst an Umfragen in diesem Forum nicht mitmachen. Du kannst Dateien in diesem Forum posten Du kannst Dateien in diesem Forum herunterladen
|
|
Impressum
| Nutzungsbedingungen
| Datenschutz
| FAQ
| RSS
Hosted by:
Copyright © 2007 - 2026
goMatlab.de | Dies ist keine offizielle Website der Firma The Mathworks
MATLAB, Simulink, Stateflow, Handle Graphics, Real-Time Workshop, SimBiology, SimHydraulics, SimEvents, and xPC TargetBox are registered trademarks and The MathWorks, the L-shaped membrane logo, and Embedded MATLAB are trademarks of The MathWorks, Inc.
|
|