|
|
|
Differenzialgleichung 1.Ordnung in Simulink |
|
| mr-04 |

Forum-Newbie
|
 |
Beiträge: 4
|
 |
|
 |
Anmeldedatum: 10.08.20
|
 |
|
 |
Wohnort: ---
|
 |
|
 |
Version: ---
|
 |
|
|
 |
|
Verfasst am: 12.08.2020, 08:31
Titel: Differenzialgleichung 1.Ordnung in Simulink
|
 |
Hallo Zusammen,
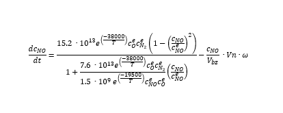
Ich behandle das Thema Simulation von Stickoxiden beim Dieselmotor . Nun stehe ich vor folgender Herausforderung, ich hoffe, kann jemand mir helfen. ich arbeite zurzeit an dieser Gleichung zu simulieren.
Und bei folgender Gleichung habe ich Schwierigkeiten die in Simulink zu modellieren. Ich habe simuliert , leider weiß ich nicht wegen der Erfahrungsmangel in Simulink (Anfänger), ob die Simulation überhaupt funktioniert.
| Beschreibung: |
|
 Download |
| Dateiname: |
Gleichung_22_V01.slx |
| Dateigröße: |
35.79 KB |
| Heruntergeladen: |
597 mal |
| Beschreibung: |
|
 Download |
| Dateiname: |
Gleichung.PNG |
| Dateigröße: |
5.58 KB |
| Heruntergeladen: |
599 mal |
|
|
|
|
|
|
| Harald |

Forum-Meister
|
 |
Beiträge: 24.502
|
 |
|
 |
Anmeldedatum: 26.03.09
|
 |
|
 |
Wohnort: Nähe München
|
 |
|
 |
Version: ab 2017b
|
 |
|
|
 |
|
Verfasst am: 18.08.2020, 12:07
Titel:
|
 |
Hallo,
auf den ersten Blick sehe ich im Modell an sich keine Probleme.
Wo werden aber die Daten für die Inports definiert? Wenn sich die Daten über die Zeit hinweg nicht ändern, würde ich stattdessen Constant-Blöcke verwenden.
Ist die Anfangsbedingung wirklich 0?
Aufpassen würde ich auch bei den Einheiten, die werden von Simulink ja bei den Berechnungen nicht einbezogen. Es liegt also an dir darauf zu achten, dass sie zusammenpassen.
Generell würde ich versuchen, nicht zu granular zu werden. Beispielsweise kann man statt des Subsystems mit Input In7 ebenso gut einen Gain-Block verwenden.
Grüße,
Harald
_________________
1.) Ask MATLAB Documentation
2.) Search gomatlab.de, google.de or MATLAB Answers
3.) Ask Technical Support of MathWorks
4.) Go mad, your problem is unsolvable ;)
|
|
|
|
| mr-04 |
Themenstarter

Forum-Newbie
|
 |
Beiträge: 4
|
 |
|
 |
Anmeldedatum: 10.08.20
|
 |
|
 |
Wohnort: ---
|
 |
|
 |
Version: ---
|
 |
|
|
 |
|
Verfasst am: 19.08.2020, 10:14
Titel:
|
 |
Hallo Harald,
Danke Ihnen erstmal für Ihre Antwort, (Wo werden aber die Daten für die Inports definiert?) alle inputs aus der Gleichung habe ich auf die Simulation modelliert,
mehr weiß ich leider nicht genau, wie ich weiter kann,da ich anfänger in Matlab/Simulink bin, . Wenn Sie bitte eine paare Tipps haben, wie ich das genau mache , wird es für mich sehr hilfreich.
Was meinen Sie bitte, Wenn sich die Daten über die Zeit hinweg nicht ändern und welche Constant-Blöcke würde ich stattdessen verwenden??
Danke noch mal für Tipps (die Einheiten und input7), werde ich nochmal bearbeiten.
LG
mr-04
|
|
|
|
| Harald |

Forum-Meister
|
 |
Beiträge: 24.502
|
 |
|
 |
Anmeldedatum: 26.03.09
|
 |
|
 |
Wohnort: Nähe München
|
 |
|
 |
Version: ab 2017b
|
 |
|
|
 |
|
Verfasst am: 19.08.2020, 11:35
Titel:
|
 |
Hallo,
unter Model Settings / Configuration Parameters kannst du im Tab Data Import / Export angeben, was als Input verwendet werden soll.
Der Constant-Block ist in der Sources Library. Du kannst ihn aber auch einfügen, indem du irgendwo ins Leere klickst und Constant eingibst.
Für Anfänger würde ich auch das Onramp empfehlen:
https://www.mathworks.com/learn/tutorials/simulink-onramp.html
Grüße,
Harald
_________________
1.) Ask MATLAB Documentation
2.) Search gomatlab.de, google.de or MATLAB Answers
3.) Ask Technical Support of MathWorks
4.) Go mad, your problem is unsolvable ;)
|
|
|
|
|
|
|
Einstellungen und Berechtigungen
|
|
Du kannst Beiträge in dieses Forum schreiben. Du kannst auf Beiträge in diesem Forum antworten. Du kannst deine Beiträge in diesem Forum nicht bearbeiten. Du kannst deine Beiträge in diesem Forum nicht löschen. Du kannst an Umfragen in diesem Forum nicht mitmachen. Du kannst Dateien in diesem Forum posten Du kannst Dateien in diesem Forum herunterladen
|
|
Impressum
| Nutzungsbedingungen
| Datenschutz
| FAQ
| RSS
Hosted by:
Copyright © 2007 - 2026
goMatlab.de | Dies ist keine offizielle Website der Firma The Mathworks
MATLAB, Simulink, Stateflow, Handle Graphics, Real-Time Workshop, SimBiology, SimHydraulics, SimEvents, and xPC TargetBox are registered trademarks and The MathWorks, the L-shaped membrane logo, and Embedded MATLAB are trademarks of The MathWorks, Inc.
|
|