|
|
|
Erstellen einer scriptgesteuerte Simulink Simulation |
|
| Joe01 |

Forum-Newbie
|
 |
Beiträge: 8
|
 |
|
 |
Anmeldedatum: 28.05.20
|
 |
|
 |
Wohnort: ---
|
 |
|
 |
Version: ---
|
 |
|
|
 |
|
Verfasst am: 30.05.2020, 13:29
Titel: Erstellen einer scriptgesteuerte Simulink Simulation
|
 |
| |
 |
|
Hallo zusammen,
ich bin neu hier in dem Forum und würde mich über eine tolle Zusammenarbeit freuen!
Mit Matlab habe ich vorher nie gearbeitet würde es aber gerne etwas können und verstehen.
Nun ja, ich hätte da schon ein ersten Problem und hoffe mir könnte jemand da ein wenig weiterhelfen.
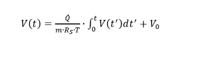
Ich soll eine Isotherme Expasion, bei kostanten Heizwert, scriptgesteuert simulieren. Es wird die Volumenänderung als Funktion der Zeit gesucht.
Anhang 1 ist die Formel und die anderen Anhänge jeweils das Matlab und das Simulink Skript.
Ich bin mir gar nicht sicher ob ich überhaupt die Formel richtig verstanden habe, wenn ich das Integral auflösen würde, müsste doch (Q/m*Rs*T)*t´+Vot´rauskommen oder?
Auf jeden Fall habe ich mir gedacht ich schreibe die Formel in den Funktionsblock der wiederum integriert wird. Vo habe ich im Integrator Block als Startwert festgelegt.
Leider läuft das Skirpt nicht wie man unschwer erkennen kann.
Ist mein Ansatz überhaupt richtig?
Mit freundlichen Grüßen
Joe
| Beschreibung: |
|
 Download |
| Dateiname: |
Simulink.PNG |
| Dateigröße: |
4.65 KB |
| Heruntergeladen: |
684 mal |
| Beschreibung: |
|
 Download |
| Dateiname: |
Matlab.PNG |
| Dateigröße: |
48.48 KB |
| Heruntergeladen: |
688 mal |
| Beschreibung: |
|
 Download |
| Dateiname: |
Formel.PNG |
| Dateigröße: |
5.14 KB |
| Heruntergeladen: |
683 mal |
|
|
|
|
|
|
| Joe01 |
Themenstarter

Forum-Newbie
|
 |
Beiträge: 8
|
 |
|
 |
Anmeldedatum: 28.05.20
|
 |
|
 |
Wohnort: ---
|
 |
|
 |
Version: ---
|
 |
|
|
 |
|
Verfasst am: 31.05.2020, 19:30
Titel:
|
 |
Hallo zusammen,
ich glaube ich habe es raus.
Habe im Prinzip einen Gain verwendet mit der Formel drin und dann einen Integratorblock mit dem Startwert Vo der dann wiederum in den Gain kommt.
Die Ausgabe dann mit dem workspace.
Mit freundlichen Grüßen
Joe
|
|
|
|
|
|
|
Einstellungen und Berechtigungen
|
|
Du kannst Beiträge in dieses Forum schreiben. Du kannst auf Beiträge in diesem Forum antworten. Du kannst deine Beiträge in diesem Forum nicht bearbeiten. Du kannst deine Beiträge in diesem Forum nicht löschen. Du kannst an Umfragen in diesem Forum nicht mitmachen. Du kannst Dateien in diesem Forum posten Du kannst Dateien in diesem Forum herunterladen
|
|
Impressum
| Nutzungsbedingungen
| Datenschutz
| FAQ
| RSS
Hosted by:
Copyright © 2007 - 2026
goMatlab.de | Dies ist keine offizielle Website der Firma The Mathworks
MATLAB, Simulink, Stateflow, Handle Graphics, Real-Time Workshop, SimBiology, SimHydraulics, SimEvents, and xPC TargetBox are registered trademarks and The MathWorks, the L-shaped membrane logo, and Embedded MATLAB are trademarks of The MathWorks, Inc.
|
|