WICHTIG: Der Betrieb von goMatlab.de wird privat finanziert fortgesetzt. - Mehr Infos...

Mein MATLAB Forum - goMatlab.de

Mein MATLAB Forum

 
Gast > Registrieren       Autologin?   

Partner:




Forum
      Option
[Erweitert]
  • Diese Seite per Mail weiterempfehlen
     


Gehe zu:  
Neues Thema eröffnen Neue Antwort erstellen

Farben in figure automatisch mit colormap setzen

 

cordman
Forum-Anfänger

Forum-Anfänger


Beiträge: 21
Anmeldedatum: 03.02.13
Wohnort: ---
Version: ---
     Beitrag Verfasst am: 06.02.2013, 18:59     Titel: Farben in figure automatisch mit colormap setzen
  Antworten mit Zitat      
Hallo zusammen,

ich habe mir jetzt schon einen Wolf recherchiert und verschiedenste Befehle ausprobiert aber bekomme es einfach nicht hin. Vielleicht kann mir ja hier jemand weiterhelfen..

Was ich machen möchte ist folgendes: Ich habe 7 Datenreihen, die ich in verschiedenen Farben (einer Farbpalette bzw. colormap) in einem Diagramm darstellen möchte.

Dazu habe ich zunächst mit dem Property-Editor alle Beschriftungen, etc. erstellt und das Ganze dann über "File" > "Generate Code" als Funktion exportiert. Im generierten Code habe ich dann noch kleine Änderungen wie z.B. eine Kantenglättung vorgenommen.

Das Problem ist nun, dass egal was ich anstelle, die Farben immer aus der "jet-Palette" von Matlab kommen, d.h. blau, rot, grün, usw. (siehe Anhang)
Ich möchte aber die Farben aus einer colormap wie z.B. "autumn" oder "summer" nehmen. Das Lustige ist, dass obwohl die Farben im Diagramm als blau, rot, grün etc. angezeigt werden, im Property-Editor unter "figure" immer die colormap angezeigt wird, die ich im Code der Funktion hinterlegt habe.
Als ob er das irgendwie nicht ordentlich darstellt oder so...

Anbei der Code für die Erstellung des Diagramms, bei dem bis auf sie colormap auch alles funktioniert:

Code:
% Hier der Code
function createfigure(YMatrix1)
%CREATEFIGURE(YMATRIX1)
%  YMATRIX1:  matrix of y data

%  Auto-generated by MATLAB on 05-Feb-2013 18:38:40

% Create figure
%figure1 = figure('Renderer','OpenGL');
figure1 = figure();

% Create axes
axes1 = axes('Parent',figure1,...
    'YTickLabel',{'0','10','20','30','40','50','60','70','80','90','100'},...
    'XTickLabel',{'0','1','2','3','4','5','6','7','8'});
box(axes1,'on');
hold(axes1,'all');

% Create multiple lines using matrix input to plot
plot1 = plot(YMatrix1,'Parent',axes1,'LineWidth',1.5,'LineSmoothing','on');
%set(plot1(6),'LineWidth',0.5);

% Gitter
grid on

% Colormap setzen (geht nicht..)
colormap autumn

% Create xlabel
xlabel({'Jährliche Erzeugung/Jährlicher Verbrauch'});

% Create ylabel
ylabel({'Eigenverbrauchsanteil [%]'});

% Create legend
legend(axes1,'show');
 



Hat jemand vielleicht eine Idee!? Kann ja eigentlich nicht so schwer sein und sollte häufiger mal gebraucht werden..

Bin für jede Hilfe dankbar!! Wink

Achso: Ich benutze MATLAB R2012b x64

Eigenverbrauch.jpg
 Beschreibung:

Download
 Dateiname:  Eigenverbrauch.jpg
 Dateigröße:  46.59 KB
 Heruntergeladen:  976 mal
Private Nachricht senden Benutzer-Profile anzeigen


cordman
Themenstarter

Forum-Anfänger

Forum-Anfänger


Beiträge: 21
Anmeldedatum: 03.02.13
Wohnort: ---
Version: ---
     Beitrag Verfasst am: 06.02.2013, 19:12     Titel:
  Antworten mit Zitat      
Im Prinzip möchte ich das Gleiche wie in folgendem Topic: http://www.gomatlab.de/viele-linien.....durchvariieren-t2727.html

Am liebsten aber mit "colormap" und nicht irgendwelchen Workarrounds Wink
Private Nachricht senden Benutzer-Profile anzeigen
 
cordman
Themenstarter

Forum-Anfänger

Forum-Anfänger


Beiträge: 21
Anmeldedatum: 03.02.13
Wohnort: ---
Version: ---
     Beitrag Verfasst am: 06.02.2013, 21:29     Titel:
  Antworten mit Zitat      
Ich habe jetzt noch einmal alles komplett neu aufgebaut aber immer noch das selbe Ergebnis Crying or Very sad

Hier der neue Code:

Code:

function createfigure4(YMatrix1)
%CREATEFIGURE4(YMATRIX1)
%  YMATRIX1:  matrix of y data

%  Auto-generated by MATLAB on 06-Feb-2013 19:17:28

% Create figure
figure1 = figure('Renderer','OpenGL',...
    'Name','Eigenverbrauchsanteil in Abhängigkeit von Jährlicher Stromerzeugung und jährlichem Stromverbrauch');
colormap('autumn');

% Create axes
axes1 = axes('Parent',figure1,...
    'YTickLabel',{'0','10','20','30','40','50','60','70','80','90','100'},...
    'XTickLabel',{'0','1','2','3','4','5','6','7','8','9','10'});
box(axes1,'on');
grid(axes1,'on');
hold(axes1,'all');

% Create multiple lines using matrix input to plot
plot1 = plot(YMatrix1,'Parent',axes1,'LineWidth',1.5,'LineSmoothing','on');
set(plot1(1),'DisplayName','Ohne Speicher');
set(plot1(2),'DisplayName','20 kWh');
set(plot1(3),'DisplayName','40 kWh');
set(plot1(4),'DisplayName','60 kWh');
set(plot1(5),'DisplayName','80 kWh');
set(plot1(6),'DisplayName','100 kWh');
set(plot1(7),'DisplayName','120 kWh');

% Create xlabel
xlabel({'Jährliche Erzeugung/Jährlicher Verbrauch'});

% Create ylabel
ylabel({'Eigenverbrauchsanteil [%]'});

% Create legend
legend(axes1,'show');
 


Eigentlich sieht es ja schon schick aus. Aber mit nem anderen Farbverlauf wäre es noch besser Smile

Eigenverbrauch.jpg
 Beschreibung:

Download
 Dateiname:  Eigenverbrauch.jpg
 Dateigröße:  47.17 KB
 Heruntergeladen:  1008 mal
Private Nachricht senden Benutzer-Profile anzeigen
 
cordman
Themenstarter

Forum-Anfänger

Forum-Anfänger


Beiträge: 21
Anmeldedatum: 03.02.13
Wohnort: ---
Version: ---
     Beitrag Verfasst am: 07.02.2013, 14:45     Titel:
  Antworten mit Zitat      
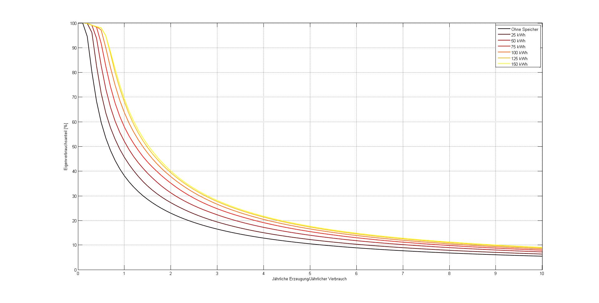
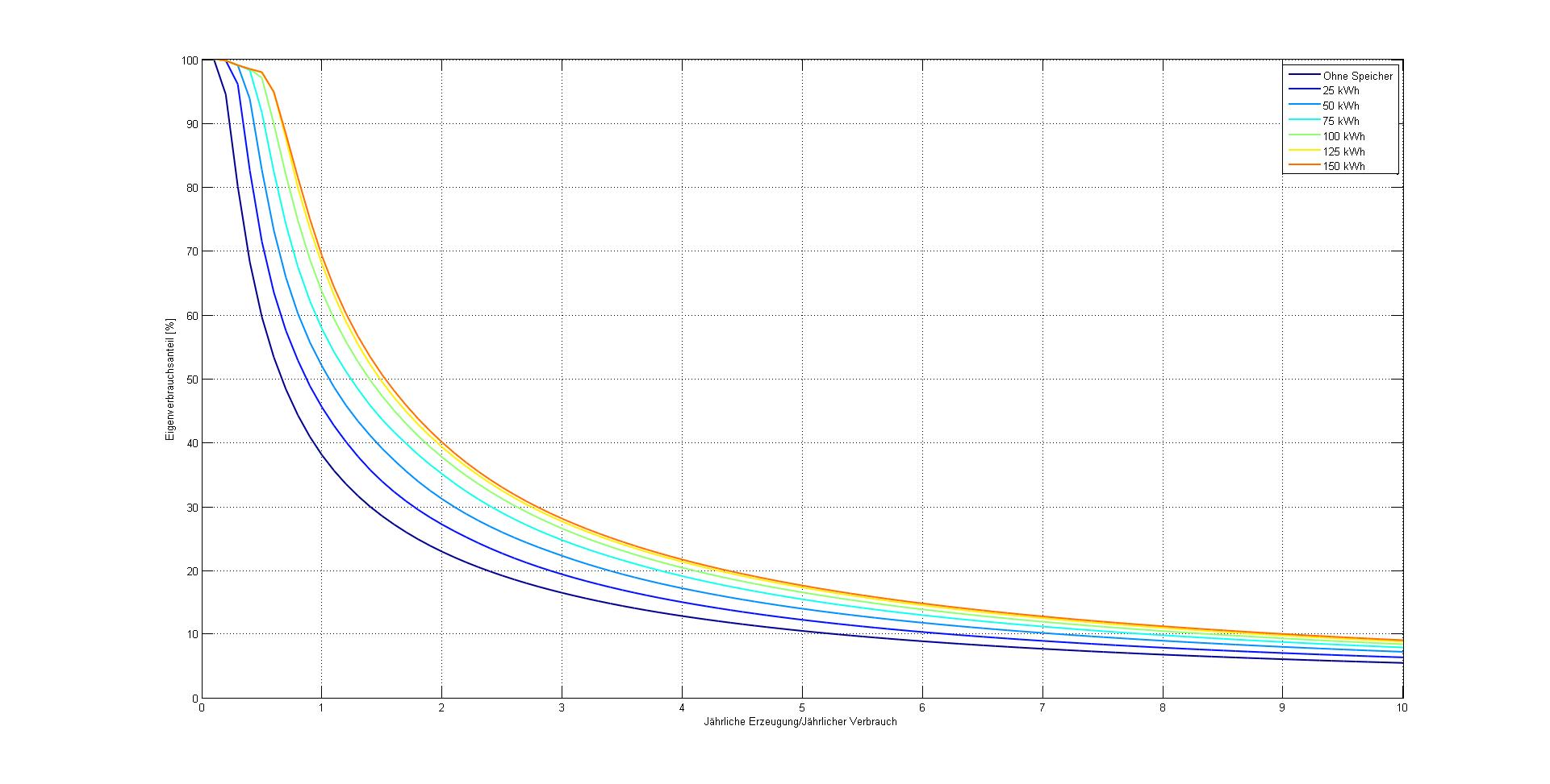
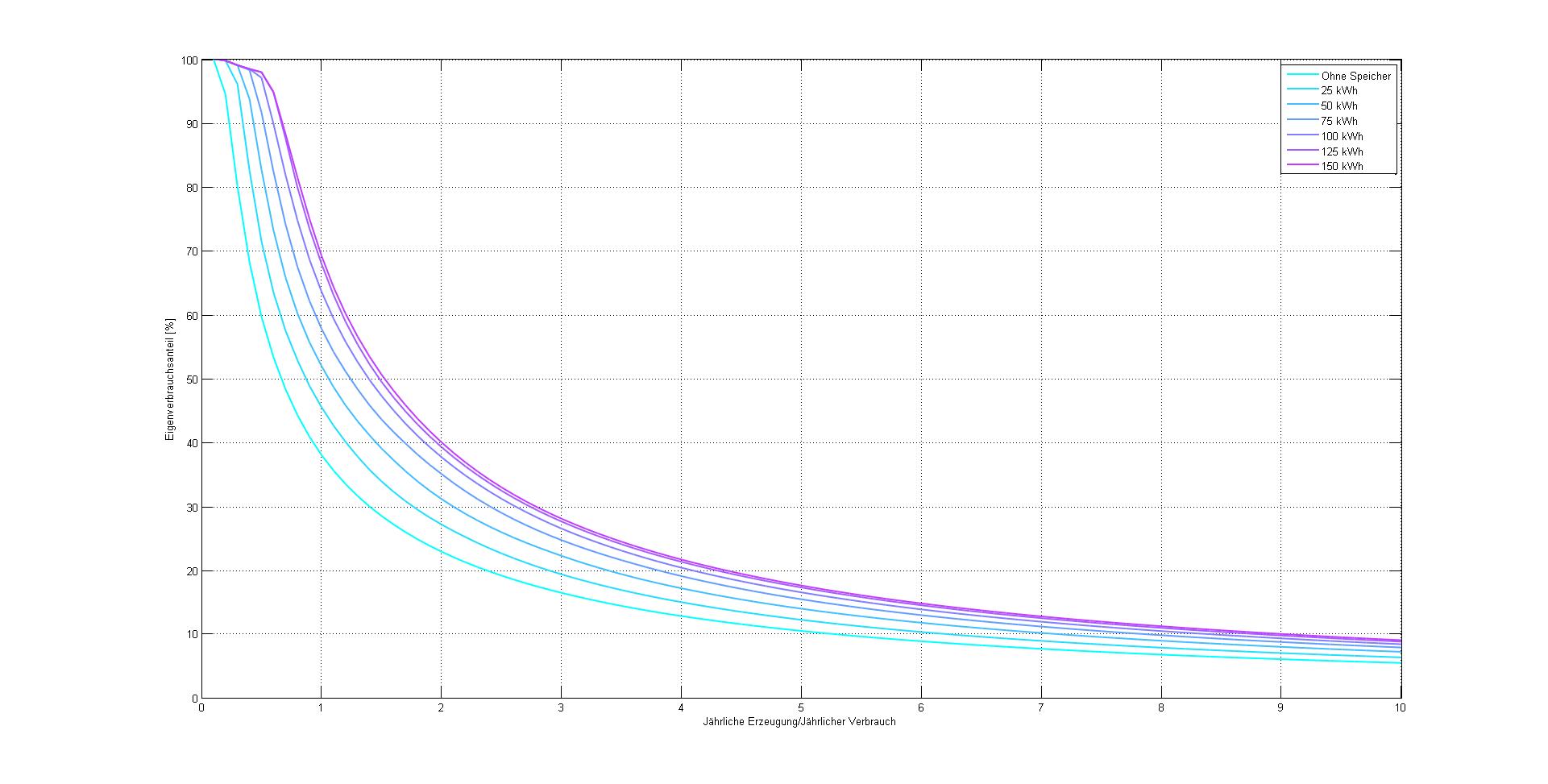
Anscheinend kann man die colormaps nicht auf LinePlots anwenden. Daher habe ich es so gelöst, dass ich die Farbabstufungen aus der colormap ausgelesen habe und diese in einem neuen Vektor gespeichert habe. Die neuen Farben werden dann den LinePlots zugeordnet..

Hier der Code und im Anhang ein paar geplottete Beispiele falls wer mal die gleiche Frage hat:

Code:

function createfigure5(YMatrix1)
%CREATEFIGURE5(YMATRIX1)
%  YMATRIX1:  matrix of y data

%  Auto-generated by MATLAB on 07-Feb-2013 12:10:23

% Create figure
figure1 = figure('Renderer','OpenGL','PaperType','a4letter',...    
    'Name','Eigenverbrauchsanteil in Abhängigkeit vom Stromerzeugungs- und Verbrauchsverhältnis');

% Create axes
axes1 = axes('Parent',figure1,...
    'YTickLabel',{'0','10','20','30','40','50','60','70','80','90','100'},...
    'XTickLabel',{'0','1','2','3','4','5','6','7','8','9','10'});
box(axes1,'on');
grid(axes1,'on');
hold(axes1,'all');

% Create multiple lines using matrix input to plot
plot1 = plot(YMatrix1,'Parent',axes1,'LineWidth',1.5,'LineSmoothing','on');
set(plot1(1),'DisplayName','Ohne Speicher');
set(plot1(2),'DisplayName','25 kWh');
set(plot1(3),'DisplayName','50 kWh');
set(plot1(4),'DisplayName','75 kWh');
set(plot1(5),'DisplayName','100 kWh');
set(plot1(6),'DisplayName','125 kWh');
set(plot1(7),'DisplayName','150 kWh');

% Farbwerte neu setzen
% Colormaps: hot,cool,hsv,jet,... (siehe http://www.mathworks.de/de/help/matlab/ref/colormap.html)
farbtabelle = hsv;
% Schleife generiert 64/Schrittweite Farbwerte
for i=1:8:length(farbtabelle);
    farbauswahl(i,:) = farbtabelle(i,:);
end
farbauswahl( all(farbauswahl ==0, 2), :) = [];
% 7 ist hier die Anzahl der Datenreihen (ggf. anpassen über Variable)
for i=1:1:7;    
    set(plot1(i),'Color',farbauswahl(i,:));
end

% Create xlabel
xlabel({'Jährliche Erzeugung/Jährlicher Verbrauch'});

% Create ylabel
ylabel({'Eigenverbrauchsanteil [%]'});

% Create legend
legend(axes1,'show');
 


Grüße

Eigenverbrauch_colormap_jet.jpg
 Beschreibung:

Download
 Dateiname:  Eigenverbrauch_colormap_jet.jpg
 Dateigröße:  156.82 KB
 Heruntergeladen:  892 mal
Eigenverbrauch_colormap_hsv.jpg
 Beschreibung:

Download
 Dateiname:  Eigenverbrauch_colormap_hsv.jpg
 Dateigröße:  156.85 KB
 Heruntergeladen:  912 mal
Eigenverbrauch_colormap_hot.jpg
 Beschreibung:

Download
 Dateiname:  Eigenverbrauch_colormap_hot.jpg
 Dateigröße:  157.46 KB
 Heruntergeladen:  896 mal
Eigenverbrauch_colormap_cool.jpg
 Beschreibung:

Download
 Dateiname:  Eigenverbrauch_colormap_cool.jpg
 Dateigröße:  153.34 KB
 Heruntergeladen:  887 mal
Private Nachricht senden Benutzer-Profile anzeigen
 
Neues Thema eröffnen Neue Antwort erstellen



Einstellungen und Berechtigungen
Beiträge der letzten Zeit anzeigen:

Du kannst Beiträge in dieses Forum schreiben.
Du kannst auf Beiträge in diesem Forum antworten.
Du kannst deine Beiträge in diesem Forum nicht bearbeiten.
Du kannst deine Beiträge in diesem Forum nicht löschen.
Du kannst an Umfragen in diesem Forum nicht mitmachen.
Du kannst Dateien in diesem Forum posten
Du kannst Dateien in diesem Forum herunterladen
.





 Impressum  | Nutzungsbedingungen  | Datenschutz | FAQ | goMatlab RSS Button RSS

Hosted by:


Copyright © 2007 - 2026 goMatlab.de | Dies ist keine offizielle Website der Firma The Mathworks

MATLAB, Simulink, Stateflow, Handle Graphics, Real-Time Workshop, SimBiology, SimHydraulics, SimEvents, and xPC TargetBox are registered trademarks and The MathWorks, the L-shaped membrane logo, and Embedded MATLAB are trademarks of The MathWorks, Inc.