WICHTIG: Der Betrieb von goMatlab.de wird privat finanziert fortgesetzt. - Mehr Infos...

Mein MATLAB Forum - goMatlab.de

Mein MATLAB Forum

 
Gast > Registrieren       Autologin?   

Partner:




Forum
      Option
[Erweitert]
  • Diese Seite per Mail weiterempfehlen
     


Gehe zu:  
Neues Thema eröffnen Neue Antwort erstellen

Farbiges Balkendiagramm erstellen

 

japamada
Forum-Anfänger

Forum-Anfänger


Beiträge: 15
Anmeldedatum: 17.12.18
Wohnort: ---
Version: ---
     Beitrag Verfasst am: 05.06.2019, 19:56     Titel: Farbiges Balkendiagramm erstellen
  Antworten mit Zitat      
Moin!

Ich muss für meine Bachelorarbeit ein Diagramm erstellen, in dem ich Autarkiegrade in Bezug auf die Stromversorgung durch Photovoltaik vergleiche (also wie unabhängig ein Haushalt von externen Energieerzeugern sein kann).
Dazu habe ich durchschnittliche Autarkiegrade (zw. 0 und 100%) für alle Gemeinden in Deutschland (insgesamt 11168).
Ich würde diese jetzt gerne der Größe nach ordnen (soweit kein Problem) und dann gerne farbig zeigen, in welchem Bundesland diese Gemeinde liegt. Denn im Süden (z.B. Bayern) scheint die Sonne intensiver, daher wird hier die Stromerzeugung höher ausfallen und der Autarkiegrad ebenfalls. Es sollte sich also aller Voraussicht nach ein Farbverlauf von links nach rechts (groß nach klein) ergeben.

Hat jemand dazu eine Idee? Muss auch nicht zwingend mit Matlab passieren, falls jemand zum Beispiel wüsste wie das mit Excel geht würde ich auch nicht nein sagen Wink

Im Anhang eine Skizze wie ich mir das ungefähr vorgestellt habe und meine Daten (Autarkiegrad zur jeweiligen Gemeinde) und die Einteilung der Gemeinden nach Bundesländern (immer von Wert in Spalte 1 bis Wert in Spalte 2).

Autarkiegrad_je_Gemeinde.mat
 Beschreibung:

Download
 Dateiname:  Autarkiegrad_je_Gemeinde.mat
 Dateigröße:  48.71 KB
 Heruntergeladen:  538 mal
BLGemeinden.mat
 Beschreibung:

Download
 Dateiname:  BLGemeinden.mat
 Dateigröße:  251 Bytes
 Heruntergeladen:  549 mal
Skizze.jpeg
 Beschreibung:

Download
 Dateiname:  Skizze.jpeg
 Dateigröße:  156.33 KB
 Heruntergeladen:  549 mal
Private Nachricht senden Benutzer-Profile anzeigen


Harald
Forum-Meister

Forum-Meister


Beiträge: 24.502
Anmeldedatum: 26.03.09
Wohnort: Nähe München
Version: ab 2017b
     Beitrag Verfasst am: 05.06.2019, 22:30     Titel:
  Antworten mit Zitat      
Hallo,

die Funktion barh nutzen.
Das Einfärben einzelner Balken ist im Beispiel "Control Individual Bar Colors" der Doku des verwandten Befehls bar zu sehen.

Grüße,
Harald
_________________

1.) Ask MATLAB Documentation
2.) Search gomatlab.de, google.de or MATLAB Answers
3.) Ask Technical Support of MathWorks
4.) Go mad, your problem is unsolvable ;)
Private Nachricht senden Benutzer-Profile anzeigen
 
japamada
Themenstarter

Forum-Anfänger

Forum-Anfänger


Beiträge: 15
Anmeldedatum: 17.12.18
Wohnort: ---
Version: ---
     Beitrag Verfasst am: 05.06.2019, 23:58     Titel:
  Antworten mit Zitat      
Hallo Harald,

danke für deine Antwort. Wenn ich das aber richtig sehe, dann dreht der barh Befehl die Balken einfach. Das ist nicht das, was ich brauche.

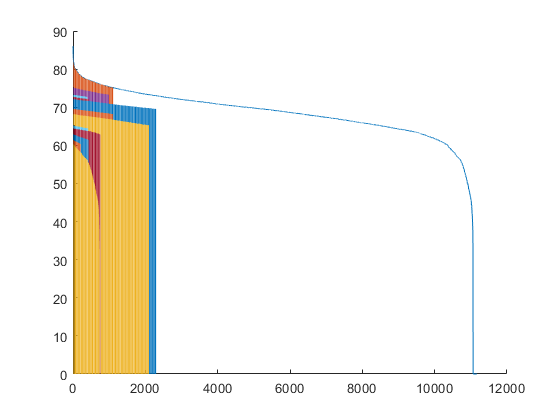
Ich habe jetzt folgenden code:
Code:
figure
hold
plot(Autarkiegrad_je_Gemeinde(:,2))
bar(Autarkiegrad_je_Gemeinde(1:1112,2))
bar(Autarkiegrad_je_Gemeinde(1113,2))
bar(Autarkiegrad_je_Gemeinde(1114:2109,2))
bar(Autarkiegrad_je_Gemeinde(2110:2111,2))
bar(Autarkiegrad_je_Gemeinde(2112:2507,2))
bar(Autarkiegrad_je_Gemeinde(2508:2937,2))
bar(Autarkiegrad_je_Gemeinde(2938:5243,2))
bar(Autarkiegrad_je_Gemeinde(5244:6346,2))
bar(Autarkiegrad_je_Gemeinde(6347:8445,2))
bar(Autarkiegrad_je_Gemeinde(8446:8497,2))
bar(Autarkiegrad_je_Gemeinde(8498,2))
bar(Autarkiegrad_je_Gemeinde(8499:8916,2))
bar(Autarkiegrad_je_Gemeinde(8917:9672,2))
bar(Autarkiegrad_je_Gemeinde(9673:10101,2))
bar(Autarkiegrad_je_Gemeinde(10102:10319,2))
bar(Autarkiegrad_je_Gemeinde(10320:11168,2))


Der reslutierende Graph packt aber alle Balken an den linken Rand und verteilt sie nicht über den gesamten Linienplot. Und die Bundesländer habe ich da auch noch nicht mit reinbekommen, so dass die Balken am Ende quasi bunt über den gesamten Graphen verteilt sind.

Meine Matlab Datei habe ich auch angepasst, so dass in der dritten Spalte jetzt die Bundeslandzahl (1 bis 16) zugeordnet ist.

Autarkiegrad_je_Gemeinde.mat
 Beschreibung:

Download
 Dateiname:  Autarkiegrad_je_Gemeinde.mat
 Dateigröße:  48.97 KB
 Heruntergeladen:  532 mal
Bar_line_plot.png
 Beschreibung:

Download
 Dateiname:  Bar_line_plot.png
 Dateigröße:  12.56 KB
 Heruntergeladen:  607 mal
Private Nachricht senden Benutzer-Profile anzeigen
 
Harald
Forum-Meister

Forum-Meister


Beiträge: 24.502
Anmeldedatum: 26.03.09
Wohnort: Nähe München
Version: ab 2017b
     Beitrag Verfasst am: 06.06.2019, 18:11     Titel:
  Antworten mit Zitat      
Hallo,

du solltest die Syntax bar(x,y) verwenden. Du brauchst MATLAB nur zu sagen, wo die Balken positioniert werden sollen.

Grüße,
Harald
_________________

1.) Ask MATLAB Documentation
2.) Search gomatlab.de, google.de or MATLAB Answers
3.) Ask Technical Support of MathWorks
4.) Go mad, your problem is unsolvable ;)
Private Nachricht senden Benutzer-Profile anzeigen
 
Neues Thema eröffnen Neue Antwort erstellen



Einstellungen und Berechtigungen
Beiträge der letzten Zeit anzeigen:

Du kannst Beiträge in dieses Forum schreiben.
Du kannst auf Beiträge in diesem Forum antworten.
Du kannst deine Beiträge in diesem Forum nicht bearbeiten.
Du kannst deine Beiträge in diesem Forum nicht löschen.
Du kannst an Umfragen in diesem Forum nicht mitmachen.
Du kannst Dateien in diesem Forum posten
Du kannst Dateien in diesem Forum herunterladen
.





 Impressum  | Nutzungsbedingungen  | Datenschutz | FAQ | goMatlab RSS Button RSS

Hosted by:


Copyright © 2007 - 2026 goMatlab.de | Dies ist keine offizielle Website der Firma The Mathworks

MATLAB, Simulink, Stateflow, Handle Graphics, Real-Time Workshop, SimBiology, SimHydraulics, SimEvents, and xPC TargetBox are registered trademarks and The MathWorks, the L-shaped membrane logo, and Embedded MATLAB are trademarks of The MathWorks, Inc.