WICHTIG: Der Betrieb von goMatlab.de wird privat finanziert fortgesetzt. - Mehr Infos...

Mein MATLAB Forum - goMatlab.de

Mein MATLAB Forum

 
Gast > Registrieren       Autologin?   

Partner:




Forum
      Option
[Erweitert]
  • Diese Seite per Mail weiterempfehlen
     


Gehe zu:  
Neues Thema eröffnen Neue Antwort erstellen

Fehlerhafte Darstellung beim Speichern als emf-Datei

 

Donnie LaBoom
Forum-Anfänger

Forum-Anfänger


Beiträge: 17
Anmeldedatum: 27.09.11
Wohnort: ---
Version: ---
     Beitrag Verfasst am: 25.07.2016, 07:50     Titel: Fehlerhafte Darstellung beim Speichern als emf-Datei
  Antworten mit Zitat      
Hi liebes Forum,

ähnlich geartete Probleme treten offensichtlich häufiger auf, meinen Fall konnte ich mit den gefundenen Hinweisen aber leider noch nicht lösen. Würde mich über sachdienliche Hinweise freuen Wink

Bei mir sehen Plots, die ich als emf speichere, aus wie in der angehängten Datei (Screenshot eines emf-Bildes). Das emf wurde erzeugt mit
Code:

h=figure;
...
saveas(h,'D:\test1.emf','emf')
 


Über den print-Befehl, den ich in einem Beitrag zu einem ähnlichen Thema gefunden habe, ergibt sich der gleiche Effekt:
Code:

resolution = '-r300'; % in dpi
filename = 'test2.emf';
print(h,'-dmeta',resolution,filename);
 


Hat jemand eine Idee, woran das liegt und wie ich das lösen kann?

Danke euch schon mal!

EMF-Fail.png
 Beschreibung:
Screenshot von test1.emf

Download
 Dateiname:  EMF-Fail.png
 Dateigröße:  37.58 KB
 Heruntergeladen:  645 mal
Private Nachricht senden Benutzer-Profile anzeigen


gs
Forum-Century

Forum-Century


Beiträge: 172
Anmeldedatum: 17.03.16
Wohnort: ---
Version: ---
     Beitrag Verfasst am: 25.07.2016, 11:30     Titel:
  Antworten mit Zitat      
Hi,

gib mal bitten deinen Quellcode, irgendwie kann ich deinen Fehler nicht reproduzieren.


Grüße
Private Nachricht senden Benutzer-Profile anzeigen
 
Donnie LaBoom
Themenstarter

Forum-Anfänger

Forum-Anfänger


Beiträge: 17
Anmeldedatum: 27.09.11
Wohnort: ---
Version: ---
     Beitrag Verfasst am: 25.07.2016, 12:59     Titel:
  Antworten mit Zitat      
Code:

x = 1:20;
y = rand(length(x));

achsschrift = 12;
FakTitelschrift = 1.05;
legschrift = 10;

h = figure;

for ix = 1:3

    subplot(3,1,ix);
    hold on
    title('Titel')
    xlabel('X-Label','FontSize',achsschrift);
    ylabel('Y-Label','FontSize',achsschrift);
    grid on; grid minor;
    plot(x,y(ix,:))
    ax = gca;
    ax.TitleFontSizeMultiplier = FakTitelschrift;
    ax.FontSize = achsschrift;
    h_legend = legend('legend');
    set(h_legend,'FontSize',legschrift,'Location','best');
    hold off
   
end

saveas(h,'D:\test_neu.emf','emf')
 


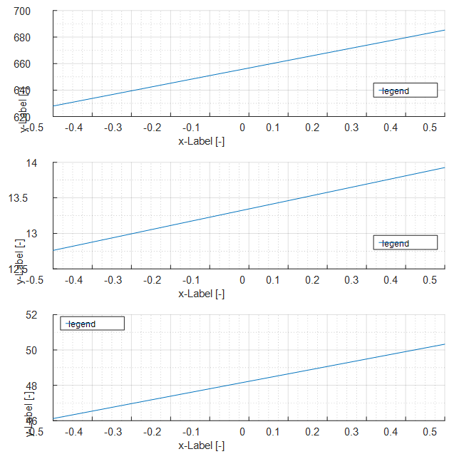
Ich habe die erzeugte Datei nochmal angehängt und eine Theorie, was da passiert:
X-Label und Titel scheinen rechtsbündig an der vertikalen Mittelachse ausgerichtet zu werden, Y-Label wird rechtsbündig an der horizontalen Mittelachse jedes Subplots ausgerichtet, und legend wird zentriert im Legenden-Feld angeordnet. So scheint es jedenfalls... Im fig-file ist das natürlich nicht der Fall!

EMF-Fail_2.png
 Beschreibung:
Screenshot von test_neu.emf

Download
 Dateiname:  EMF-Fail_2.png
 Dateigröße:  32.02 KB
 Heruntergeladen:  585 mal
Private Nachricht senden Benutzer-Profile anzeigen
 
Donnie LaBoom
Themenstarter

Forum-Anfänger

Forum-Anfänger


Beiträge: 17
Anmeldedatum: 27.09.11
Wohnort: ---
Version: ---
     Beitrag Verfasst am: 25.07.2016, 13:42     Titel:
  Antworten mit Zitat      
Die Theorie passt allerdings nicht zum ersten Beispiel test1.emf... Confused
Private Nachricht senden Benutzer-Profile anzeigen
 
gs
Forum-Century

Forum-Century


Beiträge: 172
Anmeldedatum: 17.03.16
Wohnort: ---
Version: ---
     Beitrag Verfasst am: 25.07.2016, 14:03     Titel:
  Antworten mit Zitat      
hi,

irgendwie scheint es bei mir zu funktionieren, ich finde keinen Fehler den du beschreibst.

Im Anhang ist ein Bild mit deinen Quellcode 1:1...

Grüße gs

test_neu.jpg
 Beschreibung:

Download
 Dateiname:  test_neu.jpg
 Dateigröße:  109.55 KB
 Heruntergeladen:  422 mal
Private Nachricht senden Benutzer-Profile anzeigen
 
Donnie LaBoom
Themenstarter

Forum-Anfänger

Forum-Anfänger


Beiträge: 17
Anmeldedatum: 27.09.11
Wohnort: ---
Version: ---
     Beitrag Verfasst am: 25.07.2016, 14:11     Titel:
  Antworten mit Zitat      
Das ist genau was ich befürchtet habe.
Danke dir schon mal für deinen Versuch!

Könnte es wohl mit irgendwelchen Grafik-Treibern oder anderen, nicht Matlab-spezifischen Problemen zusammenhängen? Mit Grafikdingen kenne ich mich leider absolut nicht aus...
Private Nachricht senden Benutzer-Profile anzeigen
 
Neues Thema eröffnen Neue Antwort erstellen



Einstellungen und Berechtigungen
Beiträge der letzten Zeit anzeigen:

Du kannst Beiträge in dieses Forum schreiben.
Du kannst auf Beiträge in diesem Forum antworten.
Du kannst deine Beiträge in diesem Forum nicht bearbeiten.
Du kannst deine Beiträge in diesem Forum nicht löschen.
Du kannst an Umfragen in diesem Forum nicht mitmachen.
Du kannst Dateien in diesem Forum posten
Du kannst Dateien in diesem Forum herunterladen
.





 Impressum  | Nutzungsbedingungen  | Datenschutz | FAQ | goMatlab RSS Button RSS

Hosted by:


Copyright © 2007 - 2026 goMatlab.de | Dies ist keine offizielle Website der Firma The Mathworks

MATLAB, Simulink, Stateflow, Handle Graphics, Real-Time Workshop, SimBiology, SimHydraulics, SimEvents, and xPC TargetBox are registered trademarks and The MathWorks, the L-shaped membrane logo, and Embedded MATLAB are trademarks of The MathWorks, Inc.