|
|
|
Finite Differenzen Methode bei zwei Transportgleichungen |
|
| Benz94 |

Forum-Newbie
|
 |
Beiträge: 5
|
 |
|
 |
Anmeldedatum: 22.08.19
|
 |
|
 |
Wohnort: ---
|
 |
|
 |
Version: ---
|
 |
|
|
 |
|
Verfasst am: 11.09.2019, 17:41
Titel: Finite Differenzen Methode bei zwei Transportgleichungen
|
 |
Hallo Community,
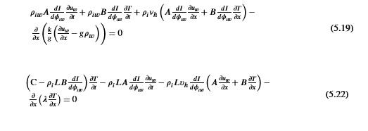
ich bin neu hier und stehe vor einem mathematischen Problem mit zwei Transportgleichungen. Ich habe beide Gleichungen in den Anhang als Bild gepackt.
Zur Erklärung: Mit Hilfe der beiden partiellen Differentialgleichungen möchte ich u_w und T bestimmen. Alle anderen Werten auch die Ableitung nach I sind bekannt. Zur Annäherung der beiden Werten möchte ich gerne die Finite Differenzen Methode nutzen. Hat irgendwer einen Ansatz für die Lösung meines Problems? Habe mich über den Tag versucht in das Thema einzulesen, bin allerdings langsam am verzweifeln...
| Beschreibung: |
|
 Download |
| Dateiname: |
Formeln .jpg |
| Dateigröße: |
18.09 KB |
| Heruntergeladen: |
645 mal |
|
|
|
|
|
|
|
|
|
Einstellungen und Berechtigungen
|
|
Du kannst Beiträge in dieses Forum schreiben. Du kannst auf Beiträge in diesem Forum antworten. Du kannst deine Beiträge in diesem Forum nicht bearbeiten. Du kannst deine Beiträge in diesem Forum nicht löschen. Du kannst an Umfragen in diesem Forum nicht mitmachen. Du kannst Dateien in diesem Forum posten Du kannst Dateien in diesem Forum herunterladen
|
|
Impressum
| Nutzungsbedingungen
| Datenschutz
| FAQ
| RSS
Hosted by:
Copyright © 2007 - 2026
goMatlab.de | Dies ist keine offizielle Website der Firma The Mathworks
MATLAB, Simulink, Stateflow, Handle Graphics, Real-Time Workshop, SimBiology, SimHydraulics, SimEvents, and xPC TargetBox are registered trademarks and The MathWorks, the L-shaped membrane logo, and Embedded MATLAB are trademarks of The MathWorks, Inc.
|
|