|
|
|
fminsearch zum optimieren eines Fits |
|
| pepperminz |
Gast
|
 |
Beiträge: ---
|
 |
|
 |
Anmeldedatum: ---
|
 |
|
 |
Wohnort: ---
|
 |
|
 |
Version: ---
|
 |
|
|
 |
|
Verfasst am: 10.04.2016, 16:23
Titel: fminsearch zum optimieren eines Fits
|
 |
| |
 |
|
Hallo,
ich versuche fMRT Daten zu fitten.
Ich habe eine Funktion, die die squared residuals ausrechnet und lasse diese dann von fminsearch optimieren.
Das funktioniert auch, wenn die Funktion etwa so aussieht (meine tatsächlcihe Funktion ist komplizierte, das hier nur als Beispiel):
Wenn ich noch eine numerische Faltung einbaue, klappt es nicht mehr:
Woran liegt das? Ich habe doch immer noch eine Funktion die Parameter aufnimmt und damit die squared residuals berechnet. Also der Befehl fminsearch läuft immernoch durch, aber die Startparameter werden nicht variiert und die Optimierung gibt mir als engültige Parameter immer exakt die Startparameter raus.
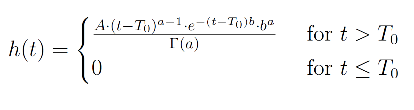
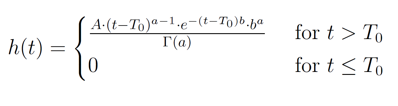
Die fitfunktion die ich nutze, habe ich als Bild angehängt (der Vollständigkeit halber, die ist aus: Boynton, G et al.: Linear Systems Analysis of Functional Magnetic Resonance Imaging in Human V1. Journal of Neuroscience, 1996. 16(13):42074221.)
Vielleicht ist fminsearch gar nicht der richtige Weg das zu machen.
Ich hoffe das ist verständlich. Wäre euch dankbar für eure Hilfe!
| Beschreibung: |
|
 Download |
| Dateiname: |
formel_boynton.png |
| Dateigröße: |
26.33 KB |
| Heruntergeladen: |
347 mal |
| Beschreibung: |
|
 Download |
| Dateiname: |
formel_boynton.png |
| Dateigröße: |
26.33 KB |
| Heruntergeladen: |
288 mal |
|
|
|
|
|
|
| Harald |

Forum-Meister
|
 |
Beiträge: 24.502
|
 |
|
 |
Anmeldedatum: 26.03.09
|
 |
|
 |
Wohnort: Nähe München
|
 |
|
 |
Version: ab 2017b
|
 |
|
|
 |
|
Verfasst am: 10.04.2016, 17:52
Titel:
|
 |
Hallo,
hast du es mal mit anderen Startwerten versucht?
Falls du die Optimization Toolbox hast, versuch's mal mit
lsqcurvefit
. Falls du die Statistics Toolbox hast, mit
lsqnonlin
.
Grüße,
Harald
|
|
|
|
| pepperminz |
Gast
|
 |
Beiträge: ---
|
 |
|
 |
Anmeldedatum: ---
|
 |
|
 |
Wohnort: ---
|
 |
|
 |
Version: ---
|
 |
|
|
 |
|
Verfasst am: 11.04.2016, 13:18
Titel:
|
 |
Hallo Harald,
Danke für deine schnelle Antwort.
ich habe es mit verschiedenen Startwerten probiert. Auch mit welchen, die sehr gut passen. Das schient nicht das Problem zu sein.
Ich habe auch die beiden anderen Toolboxen und werde es mal damit versuchen.
|
|
|
|
| Harald |

Forum-Meister
|
 |
Beiträge: 24.502
|
 |
|
 |
Anmeldedatum: 26.03.09
|
 |
|
 |
Wohnort: Nähe München
|
 |
|
 |
Version: ab 2017b
|
 |
|
|
 |
|
Verfasst am: 11.04.2016, 13:46
Titel:
|
 |
Hallo,
falls du weiterhin Probleme hast, bitte ein reproduzierbares Beispiel zur Verfügung stellen (d.h. inkl. Beispieldaten).
Grüße,
Harald
|
|
|
|
|
|
|
Einstellungen und Berechtigungen
|
|
Du kannst Beiträge in dieses Forum schreiben. Du kannst auf Beiträge in diesem Forum antworten. Du kannst deine Beiträge in diesem Forum nicht bearbeiten. Du kannst deine Beiträge in diesem Forum nicht löschen. Du kannst an Umfragen in diesem Forum nicht mitmachen. Du kannst Dateien in diesem Forum posten Du kannst Dateien in diesem Forum herunterladen
|
|
Impressum
| Nutzungsbedingungen
| Datenschutz
| FAQ
| RSS
Hosted by:
Copyright © 2007 - 2026
goMatlab.de | Dies ist keine offizielle Website der Firma The Mathworks
MATLAB, Simulink, Stateflow, Handle Graphics, Real-Time Workshop, SimBiology, SimHydraulics, SimEvents, and xPC TargetBox are registered trademarks and The MathWorks, the L-shaped membrane logo, and Embedded MATLAB are trademarks of The MathWorks, Inc.
|
|