|
|
|
Formel richtig in Matlab programmieren |
|
| susasue |

Forum-Newbie
|
 |
Beiträge: 2
|
 |
|
 |
Anmeldedatum: 26.01.11
|
 |
|
 |
Wohnort: Melbourne
|
 |
|
 |
Version: ---
|
 |
|
|
 |
|
Verfasst am: 26.01.2011, 14:04
Titel: Formel richtig in Matlab programmieren
|
 |
Hallo zusammen.
Hab hier ein kleines Problem mit einem Code.
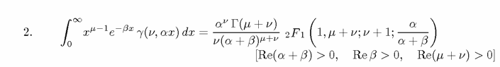
Muss eine Formel in Matlab programmieren (hab einen Screenshot davon angehaengt.)
Ich hatte das folgendermassen programmiert:
F=((alpha)^v*gamma(u+v))/(v*(alpha+beta)^(μ+v)^2)*mfun(F1;1;μ+v;v+1;alpha/(alpha+beta))
Wenn ich das programmiere kommt leider ein total unsinniger Wert dabei heraus.
Danke schon mal im Vorraus.
Susasue
| Beschreibung: |
|
 Download |
| Dateiname: |
Screen shot 2011-01-26 at 22.12.23.png |
| Dateigröße: |
16.59 KB |
| Heruntergeladen: |
1815 mal |
|
|
|
|
|
|
| Harald |

Forum-Meister
|
 |
Beiträge: 24.502
|
 |
|
 |
Anmeldedatum: 26.03.09
|
 |
|
 |
Wohnort: Nähe München
|
 |
|
 |
Version: ab 2017b
|
 |
|
|
 |
|
Verfasst am: 26.01.2011, 14:28
Titel:
|
 |
Hallo,
mir fallen ein paar Sachen auf:
Argumente von Funktionen müssen durch Komma voneinander getrennt werden (nicht Strichpunkt).
Sollen alpha und beta hier Parameter sein oder die Funktionen? Wie sind die Parameter vorher definiert worden?
Sind u und v Skalare, die vorher definiert wurden? Oder sind es Vektoren? Falls es Vektoren sind, sollte man mit .* und ./ statt * und / arbeiten.
Grüße,
Harald
_________________
1.) Ask MATLAB Documentation
2.) Search gomatlab.de, google.de or MATLAB Answers
3.) Ask Technical Support of MathWorks
4.) Go mad, your problem is unsolvable ;)
|
|
|
|
| susasue |
Themenstarter

Forum-Newbie
|
 |
Beiträge: 2
|
 |
|
 |
Anmeldedatum: 26.01.11
|
 |
|
 |
Wohnort: Melbourne
|
 |
|
 |
Version: ---
|
 |
|
|
 |
|
Verfasst am: 27.01.2011, 12:14
Titel:
|
 |
Hallo Harald.
Danke fuer die schnelle Antwort.
alpha und beta sind in diesem fall die Parameter. Wollte es nur so uebersichtlich wie moeglich gestalten, damit es zu der hochgeladenen Formel passt.
alpha ist ein Vektor also . einfuegen.
alles andere sind skalare.
meine frage war allerdings eher auf die mfun funktion gerichtet. kann ich diese so programieren (mit komma anstelle der wenn ich naemlich auf help mfun zurueckgreife, hat die mfun funktion nur 2 argumente. oder ist die mfun funktion hier nicht angebracht?!
liebe gruesse
susasue
|
|
|
|
| Harald |

Forum-Meister
|
 |
Beiträge: 24.502
|
 |
|
 |
Anmeldedatum: 26.03.09
|
 |
|
 |
Wohnort: Nähe München
|
 |
|
 |
Version: ab 2017b
|
 |
|
|
 |
|
Verfasst am: 27.01.2011, 12:27
Titel:
|
 |
Hallo,
zumindest in 2010b erlaubt MATLAB durchaus die Übergabe mehrerer Argumente. Ich frage mich allerdings: was soll "F1" sein?
Im Zusammenhang mit mfun kann man meines Wissens nur Funktionen verwenden, die unter
aufgelistet sind.
Kommen gegenwärtig Fehlermeldungen? Welche?
Grüße,
Harald
_________________
1.) Ask MATLAB Documentation
2.) Search gomatlab.de, google.de or MATLAB Answers
3.) Ask Technical Support of MathWorks
4.) Go mad, your problem is unsolvable ;)
|
|
|
|
|
|
|
Einstellungen und Berechtigungen
|
|
Du kannst Beiträge in dieses Forum schreiben. Du kannst auf Beiträge in diesem Forum antworten. Du kannst deine Beiträge in diesem Forum nicht bearbeiten. Du kannst deine Beiträge in diesem Forum nicht löschen. Du kannst an Umfragen in diesem Forum nicht mitmachen. Du kannst Dateien in diesem Forum posten Du kannst Dateien in diesem Forum herunterladen
|
|
Impressum
| Nutzungsbedingungen
| Datenschutz
| FAQ
| RSS
Hosted by:
Copyright © 2007 - 2026
goMatlab.de | Dies ist keine offizielle Website der Firma The Mathworks
MATLAB, Simulink, Stateflow, Handle Graphics, Real-Time Workshop, SimBiology, SimHydraulics, SimEvents, and xPC TargetBox are registered trademarks and The MathWorks, the L-shaped membrane logo, and Embedded MATLAB are trademarks of The MathWorks, Inc.
|
|