|
|
|
Funktion über der Zeit plotten |
|
| Richi123 |

Forum-Newbie
|
 |
Beiträge: 4
|
 |
|
 |
Anmeldedatum: 28.03.20
|
 |
|
 |
Wohnort: ---
|
 |
|
 |
Version: ---
|
 |
|
|
 |
|
Verfasst am: 09.04.2020, 19:03
Titel: Funktion über der Zeit plotten
|
 |
Hallo zusammen,
ich bräuchte Hilfestellung bei folgender Aufgabe:
Ich muss den Druck berechnen und in Matlab als Funktion über der Zeit plotten.
Nun ist es so, das der Graph geplottet wird, aber eine Gerade ergibt und nicht wie gedacht eine Hyperbel.
Hier mein Code:
Meine Frage ist, wie ich die Zeit im Plotbefehl integrieren kann?
Im Anhang meine fehlerhafte geplottete Funktion
Danke für die Mithilfe
Gruß Richi123
| Beschreibung: |
|
 Download |
| Dateiname: |
2020-04-09_18h59_55.png |
| Dateigröße: |
8.71 KB |
| Heruntergeladen: |
479 mal |
|
|
|
|
|
|
| Harald |

Forum-Meister
|
 |
Beiträge: 24.502
|
 |
|
 |
Anmeldedatum: 26.03.09
|
 |
|
 |
Wohnort: Nähe München
|
 |
|
 |
Version: ab 2017b
|
 |
|
|
 |
|
Verfasst am: 09.04.2020, 19:33
Titel:
|
 |
Hallo,
achte mal auf den Verlauf nahe 0. Da geht das extrem nach oben. Das liegt an den verwendeten Daten, evtl. ist out.ScopeData(1) sehr klein.
In der PN schriebst du von "integrieren". Was soll da denn integriert werden?
| Zitat: |
| Meine Frage ist, wie ich die Zeit im Plotbefehl integrieren kann? |
Wenn out.t die Zeit ist, dann wird sie bereits auf der x-Achse geplottet. Wenn du mit "im Plotbefehl integrieren" etwas anderes meinst, dann bitte näher erklären.
Grüße,
Harald
_________________
1.) Ask MATLAB Documentation
2.) Search gomatlab.de, google.de or MATLAB Answers
3.) Ask Technical Support of MathWorks
4.) Go mad, your problem is unsolvable ;)
|
|
|
|
| Richi123 |
Themenstarter

Forum-Newbie
|
 |
Beiträge: 4
|
 |
|
 |
Anmeldedatum: 28.03.20
|
 |
|
 |
Wohnort: ---
|
 |
|
 |
Version: ---
|
 |
|
|
 |
|
Verfasst am: 09.04.2020, 20:01
Titel:
|
 |
Hallo Harald,
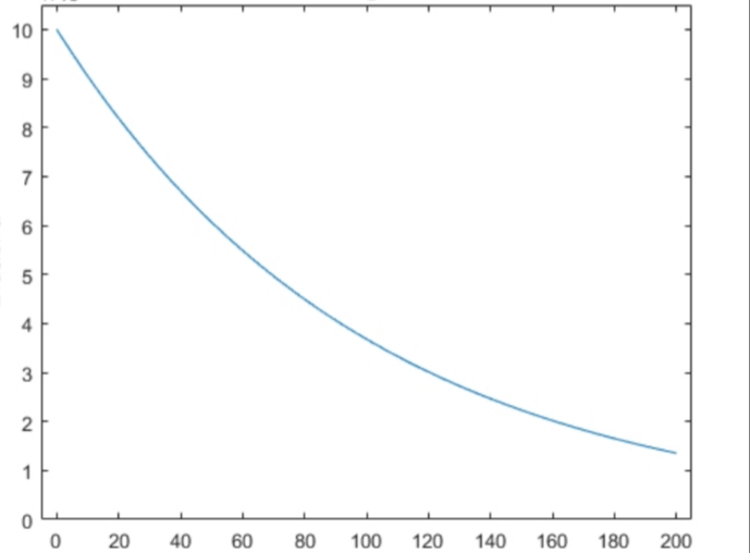
Mit integrieren meinte ich das der Druck über der Zeit ändert und somit eine Hyperbel rauskommt. So wie im Bild im Anhang, so ähnlich müsste es bei mir aussehen.
Grüße Richi123
| Beschreibung: |
|
 Download |
| Dateiname: |
20200409_200049.jpg |
| Dateigröße: |
33.54 KB |
| Heruntergeladen: |
478 mal |
|
|
|
|
| Harald |

Forum-Meister
|
 |
Beiträge: 24.502
|
 |
|
 |
Anmeldedatum: 26.03.09
|
 |
|
 |
Wohnort: Nähe München
|
 |
|
 |
Version: ab 2017b
|
 |
|
|
 |
|
Verfasst am: 09.04.2020, 20:40
Titel:
|
 |
Hallo,
was ist denn der Druck? p? Hast du dir schon mal im Variable Editor die Werte von p angesehen? Sind die sinnvoll? Mich verwundert wie gesagt die Berechnung.
Grüße,
Harald
_________________
1.) Ask MATLAB Documentation
2.) Search gomatlab.de, google.de or MATLAB Answers
3.) Ask Technical Support of MathWorks
4.) Go mad, your problem is unsolvable ;)
|
|
|
|
| Richi123 |
Themenstarter

Forum-Newbie
|
 |
Beiträge: 4
|
 |
|
 |
Anmeldedatum: 28.03.20
|
 |
|
 |
Wohnort: ---
|
 |
|
 |
Version: ---
|
 |
|
|
 |
|
Verfasst am: 10.04.2020, 12:53
Titel:
|
 |
Hallo Harald,
habe es hinbekommen. Das Problem war, das ich im Workspace einmal eine 201*1 und einmal eine 201*2 Matrix hatte und deswegen die Fehlermeldung kam, das sie nicht gleich wären.
Als Matlabanfänger habe ich aber immer rumprobiert und so kam diese Fehlermeldung nur manchmal und manchmal keine Fehlermeldung. Deswegen dachte ich der Fehler liegt wo anders.
Danke dir und ich wünsche dir frohe Ostern.
Gruß Richi123
|
|
|
|
|
|
|
Einstellungen und Berechtigungen
|
|
Du kannst Beiträge in dieses Forum schreiben. Du kannst auf Beiträge in diesem Forum antworten. Du kannst deine Beiträge in diesem Forum nicht bearbeiten. Du kannst deine Beiträge in diesem Forum nicht löschen. Du kannst an Umfragen in diesem Forum nicht mitmachen. Du kannst Dateien in diesem Forum posten Du kannst Dateien in diesem Forum herunterladen
|
|
Impressum
| Nutzungsbedingungen
| Datenschutz
| FAQ
| RSS
Hosted by:
Copyright © 2007 - 2026
goMatlab.de | Dies ist keine offizielle Website der Firma The Mathworks
MATLAB, Simulink, Stateflow, Handle Graphics, Real-Time Workshop, SimBiology, SimHydraulics, SimEvents, and xPC TargetBox are registered trademarks and The MathWorks, the L-shaped membrane logo, and Embedded MATLAB are trademarks of The MathWorks, Inc.
|
|