|
|
| Phil3031 |
Gast
|
 |
Beiträge: ---
|
 |
|
 |
Anmeldedatum: ---
|
 |
|
 |
Wohnort: ---
|
 |
|
 |
Version: ---
|
 |
|
|
 |
|
Verfasst am: 10.06.2018, 21:48
Titel: Funktion erstellen
|
 |
Guten Abend,
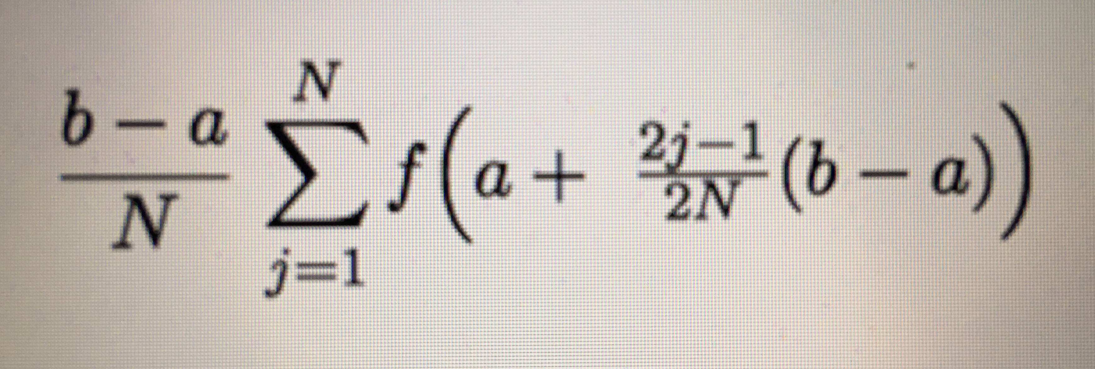
ich möchte die als Datei angehängte Funktion mit MATLAB erstellen und habe damit Schwierigkeiten. Es ist f eine Funktion von dem abgeschlossenen Intervall a,b nach R und N aus den natürlichen Zahlen.
Laut Skript muss ich dazu eine Schleife erstellen, wobei mir nicht klar ist wie ich überhaupt die Funktion hinter dem Summenzeichen erstelle.
Über einen Ansatz dazu würde ich mich freuen.
| Beschreibung: |
|
 Download |
| Dateiname: |
FEA61490-9BA7-480B-A055-DE1C23133CAA.jpeg |
| Dateigröße: |
1.43 MB |
| Heruntergeladen: |
353 mal |
|
|
|
|
|
|
|
|
|
Einstellungen und Berechtigungen
|
|
Du kannst Beiträge in dieses Forum schreiben. Du kannst auf Beiträge in diesem Forum antworten. Du kannst deine Beiträge in diesem Forum nicht bearbeiten. Du kannst deine Beiträge in diesem Forum nicht löschen. Du kannst an Umfragen in diesem Forum nicht mitmachen. Du kannst Dateien in diesem Forum posten Du kannst Dateien in diesem Forum herunterladen
|
|
Impressum
| Nutzungsbedingungen
| Datenschutz
| FAQ
| RSS
Hosted by:
Copyright © 2007 - 2026
goMatlab.de | Dies ist keine offizielle Website der Firma The Mathworks
MATLAB, Simulink, Stateflow, Handle Graphics, Real-Time Workshop, SimBiology, SimHydraulics, SimEvents, and xPC TargetBox are registered trademarks and The MathWorks, the L-shaped membrane logo, and Embedded MATLAB are trademarks of The MathWorks, Inc.
|
|