|
|
|
Funktion für Darstellen der Verschiebung |
|
| Laura |

Forum-Newbie
|
 |
Beiträge: 7
|
 |
|
 |
Anmeldedatum: 16.04.09
|
 |
|
 |
Wohnort: Konstanz
|
 |
|
 |
Version: ---
|
 |
|
|
 |
|
Verfasst am: 08.05.2009, 10:41
Titel: Funktion für Darstellen der Verschiebung
|
 |
Hallo zusammen,
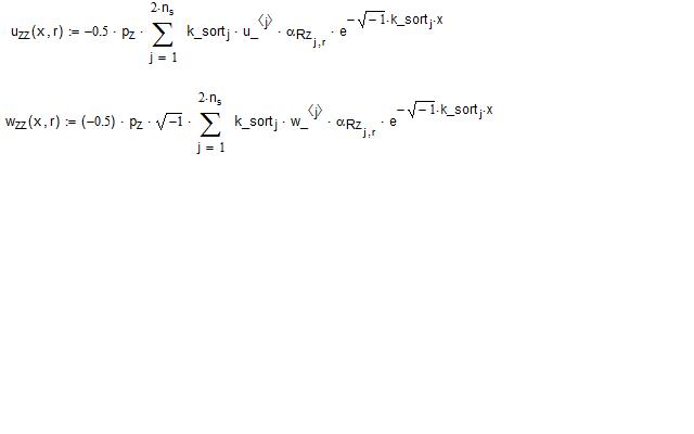
Ich möchte die Verschiebung des Bodens unter einem Last rechnen und dafür muss ich eine Funktion abhängig von 2 Parameter eingeben.(siehe Bild)
Meine Frage ist: gibt es die Möglichkeit in Matlab dass man eine generelle Formel f(x,y) eingibt die man später benutzen kann? z.B. dass man später sagt f(2,3)=.... und Matlab das automatisch rechnet?
Danke für die Vorschläge im Voraus
Gruß,
Laura
| Beschreibung: |
|
 Download |
| Dateiname: |
imag.jpg |
| Dateigröße: |
11.81 KB |
| Heruntergeladen: |
617 mal |
|
|
|
|
|
|
| steve |

Ehrenmitglied
|
 |
Beiträge: 2.029
|
 |
|
 |
Anmeldedatum: 03.09.07
|
 |
|
 |
Wohnort: Wien
|
 |
|
 |
Version: R2024a
|
 |
|
|
 |
|
Verfasst am: 08.05.2009, 10:47
Titel:
|
 |
Moin,
klar geht das:
Als Verschiebung.m abspeichern und dann erfolgt der Aufruf:
Fertig!
Gruß
Alex
_________________
>> I told me to.
____________________________________
Matlab Cheat Sheet
goMatlab-Knigge - dran gehalten?!
Schon in den FAQ gesucht?
Ist vielleicht bei den Skripten oder den Tutorials was für dich dabei?
|
|
|
|
|
|
|
Einstellungen und Berechtigungen
|
|
Du kannst Beiträge in dieses Forum schreiben. Du kannst auf Beiträge in diesem Forum antworten. Du kannst deine Beiträge in diesem Forum nicht bearbeiten. Du kannst deine Beiträge in diesem Forum nicht löschen. Du kannst an Umfragen in diesem Forum nicht mitmachen. Du kannst Dateien in diesem Forum posten Du kannst Dateien in diesem Forum herunterladen
|
|
Impressum
| Nutzungsbedingungen
| Datenschutz
| FAQ
| RSS
Hosted by:
Copyright © 2007 - 2026
goMatlab.de | Dies ist keine offizielle Website der Firma The Mathworks
MATLAB, Simulink, Stateflow, Handle Graphics, Real-Time Workshop, SimBiology, SimHydraulics, SimEvents, and xPC TargetBox are registered trademarks and The MathWorks, the L-shaped membrane logo, and Embedded MATLAB are trademarks of The MathWorks, Inc.
|
|