|
|
| Seba07 |

Forum-Newbie
|
 |
Beiträge: 2
|
 |
|
 |
Anmeldedatum: 13.01.17
|
 |
|
 |
Wohnort: ---
|
 |
|
 |
Version: ---
|
 |
|
|
 |
|
Verfasst am: 13.01.2017, 14:26
Titel: gaussnewton
|
 |
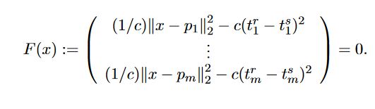
Hi, ich ahbe ein problem mit dem Gauss Newton Verfahren. Mein Code funktioniert zwar, liefert aber keine sinnvollen Ergebnisse.
hier als Link mal der ganze code, mit Funktion: http://pastebin.com/vmvC8fvx
kann jemand einen fehler finden?
| Beschreibung: |
| die Funktion (von R3 nach R5) |
|
 Download |
| Dateiname: |
funktion.JPG |
| Dateigröße: |
17.05 KB |
| Heruntergeladen: |
311 mal |
|
|
|
|
|
|
| Jan S |

Moderator
|
 |
Beiträge: 11.057
|
 |
|
 |
Anmeldedatum: 08.07.10
|
 |
|
 |
Wohnort: Heidelberg
|
 |
|
 |
Version: 2009a, 2016b
|
 |
|
|
 |
|
Verfasst am: 14.01.2017, 00:52
Titel: Re: gaussnewton
|
 |
Hallo Seba07,
Theoretisch ist es möglich, dass der Fehler in Deiner Meinung über ein "sinnvolles" Ergebnis liegt. Deshabl müsstest Du noch dazu sagen, was Du aus welchem Grund nicht sinnvoll findest.
Gruß, Jan
|
|
|
|
|
|
|
Einstellungen und Berechtigungen
|
|
Du kannst Beiträge in dieses Forum schreiben. Du kannst auf Beiträge in diesem Forum antworten. Du kannst deine Beiträge in diesem Forum nicht bearbeiten. Du kannst deine Beiträge in diesem Forum nicht löschen. Du kannst an Umfragen in diesem Forum nicht mitmachen. Du kannst Dateien in diesem Forum posten Du kannst Dateien in diesem Forum herunterladen
|
|
Impressum
| Nutzungsbedingungen
| Datenschutz
| FAQ
| RSS
Hosted by:
Copyright © 2007 - 2026
goMatlab.de | Dies ist keine offizielle Website der Firma The Mathworks
MATLAB, Simulink, Stateflow, Handle Graphics, Real-Time Workshop, SimBiology, SimHydraulics, SimEvents, and xPC TargetBox are registered trademarks and The MathWorks, the L-shaped membrane logo, and Embedded MATLAB are trademarks of The MathWorks, Inc.
|
|