|
|
|
gebrochenrationale funktion |
|
| Conquistadore |

Forum-Newbie
|
 |
Beiträge: 1
|
 |
|
 |
Anmeldedatum: 09.11.09
|
 |
|
 |
Wohnort: ---
|
 |
|
 |
Version: ---
|
 |
|
|
 |
|
Verfasst am: 10.11.2009, 19:05
Titel: gebrochenrationale funktion
|
 |
Hallo!
Ich bin kompletter Anfänger was Matlab betrifft, habe leider einige Zeit durch Krankheit gefehlt und somit die Vorlesungen verpasst.
Nun drängt die erste Hausarbeit
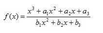
Ich soll bei der folgenden Funktion (die ich hier noch anhänge) die Nullstellen, Polstellen und Lücken (???) ermitteln und graphisch darstellen.
Die Variablen sind a=[0,3,-2] und b=[3,-2,3]
Könnt ihr vielleicht helfen=
| Beschreibung: |
|
 Download |
| Dateiname: |
funktion.jpg |
| Dateigröße: |
5.79 KB |
| Heruntergeladen: |
1296 mal |
_________________
Pi ist genau 3!
|
|
|
|
|
|
| Harald |

Forum-Meister
|
 |
Beiträge: 24.502
|
 |
|
 |
Anmeldedatum: 26.03.09
|
 |
|
 |
Wohnort: Nähe München
|
 |
|
 |
Version: ab 2017b
|
 |
|
|
 |
|
Verfasst am: 15.11.2009, 00:29
Titel:
|
 |
Hallo,
genau zu dieser Aufgabe gab es im Forum schon Fragen von mindestens zwei Leuten. Einfach mal stöbern.
Grüße,
Harald
|
|
|
|
|
|
|
Einstellungen und Berechtigungen
|
|
Du kannst Beiträge in dieses Forum schreiben. Du kannst auf Beiträge in diesem Forum antworten. Du kannst deine Beiträge in diesem Forum nicht bearbeiten. Du kannst deine Beiträge in diesem Forum nicht löschen. Du kannst an Umfragen in diesem Forum nicht mitmachen. Du kannst Dateien in diesem Forum posten Du kannst Dateien in diesem Forum herunterladen
|
|
Impressum
| Nutzungsbedingungen
| Datenschutz
| FAQ
| RSS
Hosted by:
Copyright © 2007 - 2026
goMatlab.de | Dies ist keine offizielle Website der Firma The Mathworks
MATLAB, Simulink, Stateflow, Handle Graphics, Real-Time Workshop, SimBiology, SimHydraulics, SimEvents, and xPC TargetBox are registered trademarks and The MathWorks, the L-shaped membrane logo, and Embedded MATLAB are trademarks of The MathWorks, Inc.
|
|