|
|
|
Gleichung in Simulink lösen |
|
| ottocool |

Forum-Anfänger
|
 |
Beiträge: 10
|
 |
|
 |
Anmeldedatum: 24.06.12
|
 |
|
 |
Wohnort: ---
|
 |
|
 |
Version: ---
|
 |
|
|
 |
|
Verfasst am: 08.08.2012, 02:20
Titel: Gleichung in Simulink lösen
|
 |
Hallo,
ich möchte in Simulink eine Gleichung lösen, ich dachte ich kann das mit einer Matlab Fct. machen, indem ich solve() benutze, aber leider kann man solve hier nicht benutzen und ich weiß nicht weiter...
ich hoffe jemand kann mir helfen.
Nette Grüße
|
|
|
|
|
|
| Phate |

Forum-Guru
|
 |
Beiträge: 283
|
 |
|
 |
Anmeldedatum: 09.11.09
|
 |
|
 |
Wohnort: Stuttgart
|
 |
|
 |
Version: R2008b
|
 |
|
|
 |
|
Verfasst am: 08.08.2012, 12:34
Titel:
|
 |
Huhu,
Was für ne Gleichung willst du lösen? Wenn du zB A+B = C rechnen möchtest dann schnappst du dir 2 "Constant" Blöcke einen "Sum" Block verbindest die beiden miteinander und tada steht da die Summe aus den beiden Konstantblöcken. Sollte nicht allzu schwer sein...
Wenn du DGL lösen möchtest kannst du dir die Beispiele in der Matlabhilfe anschauen oder im iNet gibts genug Informationen.
Grüße
|
|
|
|
| cybbi |

Forum-Fortgeschrittener
|
 |
Beiträge: 84
|
 |
|
 |
Anmeldedatum: 23.08.11
|
 |
|
 |
Wohnort: ---
|
 |
|
 |
Version: Alle
|
 |
|
|
 |
|
Verfasst am: 08.08.2012, 13:56
Titel:
|
 |
Willst du Matlab Function Blöcke nehmen oder "Interpreted Matlab Function" Blöcke?
Wie auch immer, solve wird nicht unterstützt in Simulink. Für standardmäßig nicht unterstützte Funktionen gibt es übrigens die Möglichkeit, diese als extrinsic zu definieren. Beispiel wäre für solve:
Damit wird diese Funktion verwendbar. Allerdings hat diese Funktion diverse Dependencies, die wiederrum in Simulink nicht unterstützt werden (symbolic language z.B.). Damit wird das so nicht funktionieren.
|
|
|
|
| Rev |

Forum-Anfänger
|
 |
Beiträge: 31
|
 |
|
 |
Anmeldedatum: 02.05.11
|
 |
|
 |
Wohnort: ---
|
 |
|
 |
Version: MATLAB R2010b
|
 |
|
|
 |
|
Verfasst am: 13.09.2014, 09:09
Titel:
|
 |
| |
 |
|
| cybbi hat Folgendes geschrieben: |
Willst du Matlab Function Blöcke nehmen oder "Interpreted Matlab Function" Blöcke?
Wie auch immer, solve wird nicht unterstützt in Simulink. Für standardmäßig nicht unterstützte Funktionen gibt es übrigens die Möglichkeit, diese als extrinsic zu definieren. Beispiel wäre für solve:
Damit wird diese Funktion verwendbar. Allerdings hat diese Funktion diverse Dependencies, die wiederrum in Simulink nicht unterstützt werden (symbolic language z.B.). Damit wird das so nicht funktionieren. |
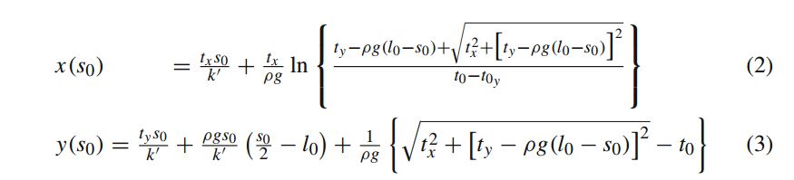
Hallo alle zusammen,
ich greife jetzt einfach den post meines Vorredners auf, um daran mein Problem anzuknüpfen. Hoffentlich schaut ab und zu noch jemand in den Thread, sonst werde ich demnächst einfach nochmal einen neuen aufmachen müssen .
Zur Zeit habe ich genau das selbe Problem wie der Thread-Ersteller. Ich möchte eine Gleichung, in der es um Kabelspannungen bei Berücksichtigung des Eigengewichtes berücksichtigt werden, nach den Kabelkräften auflösen. Gibt es überhaupt irgendeine Möglichkeit das online in Simulink zu machen? Die aktuellen Daten nach jedem Rechenschritt im Workspace zu speichern und dann nach jedem Schritt offline zu berechnen ist eine etwas zu kostenspielige Sache, da das ganze Programm später nämlich realtime-fähig sein sollte.
Die Gleichung, die ich lösen möchte, habe ich mal im Anhang eingesetzt. Dabei sind F alle Kräfte, nach denen ich auflösen möchte. Alle anderen Größen habe ich gegeben und können somit als einfache Parameter angesehen werden.
Hoffe, dass ihr mir helfen könnt. Ansonsten stecke ich nämlich in einer ziemlichen Sackgasse.
Gruß Chris
| Beschreibung: |
|
 Download |
| Dateiname: |
Equation.JPG |
| Dateigröße: |
27 KB |
| Heruntergeladen: |
784 mal |
|
|
|
|
| Harald |

Forum-Meister
|
 |
Beiträge: 24.502
|
 |
|
 |
Anmeldedatum: 26.03.09
|
 |
|
 |
Wohnort: Nähe München
|
 |
|
 |
Version: ab 2017b
|
 |
|
|
 |
|
Verfasst am: 13.09.2014, 13:26
Titel:
|
 |
Hallo,
bei Gleichungen dieser Komplexität ist man mit numerischer Lösung über fsolve besser beraten. Zur Umsetzung siehe dann
www.gomatlab.de/viewtopic,p,138903.html
In der dargestellten Gleichung kommt davon abgesehen gar kein F vor...
| Zitat: |
| da das ganze Programm später nämlich realtime-fähig sein sollte. |
Falls das bedeutet, dass daraus Code generiert werden soll: Dann kann man aber keine extrinsischen Funktionen verwenden.
Die beste Möglichkeit wäre dann meiner Ansicht, auf R2014a umzusteigen und fminsearch zu verwenden, da das (gegenwärtig) die einzige Optimierungsfunktion ist, die Codegenerierung unterstützt.
Grüße,
Harald
|
|
|
|
|
|
|
Einstellungen und Berechtigungen
|
|
Du kannst Beiträge in dieses Forum schreiben. Du kannst auf Beiträge in diesem Forum antworten. Du kannst deine Beiträge in diesem Forum nicht bearbeiten. Du kannst deine Beiträge in diesem Forum nicht löschen. Du kannst an Umfragen in diesem Forum nicht mitmachen. Du kannst Dateien in diesem Forum posten Du kannst Dateien in diesem Forum herunterladen
|
|
Impressum
| Nutzungsbedingungen
| Datenschutz
| FAQ
| RSS
Hosted by:
Copyright © 2007 - 2026
goMatlab.de | Dies ist keine offizielle Website der Firma The Mathworks
MATLAB, Simulink, Stateflow, Handle Graphics, Real-Time Workshop, SimBiology, SimHydraulics, SimEvents, and xPC TargetBox are registered trademarks and The MathWorks, the L-shaped membrane logo, and Embedded MATLAB are trademarks of The MathWorks, Inc.
|
|