|
|
|
Hilfe bei Darstellung eines Polynoms |
|
| Gixx |

Forum-Anfänger
|
 |
Beiträge: 11
|
 |
|
 |
Anmeldedatum: 22.03.19
|
 |
|
 |
Wohnort: ---
|
 |
|
 |
Version: ---
|
 |
|
|
 |
|
Verfasst am: 26.03.2019, 21:49
Titel: Hilfe bei Darstellung eines Polynoms
|
 |
Hallo ,
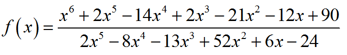
ich versuch seit gestern das Polynom zu plotten, jedoch weiß ich nicht wie ich es richtig in Matlab eingeben soll. Das Polynom hab ich als Datei angehangen. Hoffentlich kann mir jemand helfen
Mit freundlichen Grüßen
Gixx
| Beschreibung: |
|
 Download |
| Dateiname: |
polynom.png |
| Dateigröße: |
5.61 KB |
| Heruntergeladen: |
572 mal |
|
|
|
|
|
|
| Harald |

Forum-Meister
|
 |
Beiträge: 24.502
|
 |
|
 |
Anmeldedatum: 26.03.09
|
 |
|
 |
Wohnort: Nähe München
|
 |
|
 |
Version: ab 2017b
|
 |
|
|
 |
|
Verfasst am: 26.03.2019, 22:19
Titel:
|
 |
Hallo,
warum führst du nicht das Thema von gestern fort?
Was du hier hast, ist kein Polynom, sondern eine rationale Funktion: ein Bruch zweier Polynome. Wenn du die Nullstellen bestimmen willst, dann reicht es die Nullstellen des Zählerpolynoms zu betrachten.
Plotten kannst du das wie jede andere Funktion auch. Du solltest allerdings um Zähler und Nenner Klammern setzen, denn sonst gilt Punkt vor Strich.
Beispiel:
Grüße,
Harald
_________________
1.) Ask MATLAB Documentation
2.) Search gomatlab.de, google.de or MATLAB Answers
3.) Ask Technical Support of MathWorks
4.) Go mad, your problem is unsolvable ;)
|
|
|
|
| Gixx |
Themenstarter

Forum-Anfänger
|
 |
Beiträge: 11
|
 |
|
 |
Anmeldedatum: 22.03.19
|
 |
|
 |
Wohnort: ---
|
 |
|
 |
Version: ---
|
 |
|
|
 |
|
Verfasst am: 27.03.2019, 08:39
Titel:
|
 |
Wäre das dann so richtig ?
Mit freundlichen Grüßen
Gixx
|
|
|
|
| Harald |

Forum-Meister
|
 |
Beiträge: 24.502
|
 |
|
 |
Anmeldedatum: 26.03.09
|
 |
|
 |
Wohnort: Nähe München
|
 |
|
 |
Version: ab 2017b
|
 |
|
|
 |
|
Verfasst am: 27.03.2019, 18:35
Titel:
|
 |
Hallo,
sieht gut aus. Siehst du Probleme?
Grüße,
Harald
_________________
1.) Ask MATLAB Documentation
2.) Search gomatlab.de, google.de or MATLAB Answers
3.) Ask Technical Support of MathWorks
4.) Go mad, your problem is unsolvable ;)
|
|
|
|
| Gixx |
Themenstarter

Forum-Anfänger
|
 |
Beiträge: 11
|
 |
|
 |
Anmeldedatum: 22.03.19
|
 |
|
 |
Wohnort: ---
|
 |
|
 |
Version: ---
|
 |
|
|
 |
|
Verfasst am: 27.03.2019, 18:38
Titel:
|
 |
Ne soweit nicht. Vielen Dank für deine Hilfe !
Bin jetzt dran für diese Gleichung ein Programm zur Ermittlung der NST mithilfe des Bisektionsverfahren zu erstellen. Mal sehen wie gut das klappt
Mit freundlichen Grüßen
Gixx
|
|
|
|
|
|
|
Einstellungen und Berechtigungen
|
|
Du kannst Beiträge in dieses Forum schreiben. Du kannst auf Beiträge in diesem Forum antworten. Du kannst deine Beiträge in diesem Forum nicht bearbeiten. Du kannst deine Beiträge in diesem Forum nicht löschen. Du kannst an Umfragen in diesem Forum nicht mitmachen. Du kannst Dateien in diesem Forum posten Du kannst Dateien in diesem Forum herunterladen
|
|
Impressum
| Nutzungsbedingungen
| Datenschutz
| FAQ
| RSS
Hosted by:
Copyright © 2007 - 2026
goMatlab.de | Dies ist keine offizielle Website der Firma The Mathworks
MATLAB, Simulink, Stateflow, Handle Graphics, Real-Time Workshop, SimBiology, SimHydraulics, SimEvents, and xPC TargetBox are registered trademarks and The MathWorks, the L-shaped membrane logo, and Embedded MATLAB are trademarks of The MathWorks, Inc.
|
|