|
|
|
Hilfe beim Lösen eines Integrals |
|
| DerPeter |
Gast
|
 |
Beiträge: ---
|
 |
|
 |
Anmeldedatum: ---
|
 |
|
 |
Wohnort: ---
|
 |
|
 |
Version: ---
|
 |
|
|
 |
|
Verfasst am: 09.04.2010, 15:00
Titel: Hilfe beim Lösen eines Integrals
|
 |
Hallo,
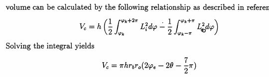
kann mir jemand sagen wie ich foglendes Integral schreiben muss, damit Matlab es löst:
Die zu integrierende Gleichung und das Ergebnis sieht so aus wie in dem Bild angehängt
| Beschreibung: |
|
 Download |
| Dateiname: |
Unbenannt-1.jpg |
| Dateigröße: |
45.85 KB |
| Heruntergeladen: |
488 mal |
|
|
|
|
|
|
|
|
|
Einstellungen und Berechtigungen
|
|
Du kannst Beiträge in dieses Forum schreiben. Du kannst auf Beiträge in diesem Forum antworten. Du kannst deine Beiträge in diesem Forum nicht bearbeiten. Du kannst deine Beiträge in diesem Forum nicht löschen. Du kannst an Umfragen in diesem Forum nicht mitmachen. Du kannst Dateien in diesem Forum posten Du kannst Dateien in diesem Forum herunterladen
|
|
Impressum
| Nutzungsbedingungen
| Datenschutz
| FAQ
| RSS
Hosted by:
Copyright © 2007 - 2026
goMatlab.de | Dies ist keine offizielle Website der Firma The Mathworks
MATLAB, Simulink, Stateflow, Handle Graphics, Real-Time Workshop, SimBiology, SimHydraulics, SimEvents, and xPC TargetBox are registered trademarks and The MathWorks, the L-shaped membrane logo, and Embedded MATLAB are trademarks of The MathWorks, Inc.
|
|