|
|
|
Hilfe beim Plotten gesucht! |
|
| plotter1987 |

Forum-Newbie
|
 |
Beiträge: 3
|
 |
|
 |
Anmeldedatum: 16.08.12
|
 |
|
 |
Wohnort: ---
|
 |
|
 |
Version: ---
|
 |
|
|
 |
|
Verfasst am: 16.08.2012, 23:33
Titel: Hilfe beim Plotten gesucht!
|
 |
Hallo Leute,
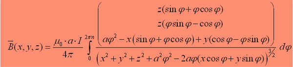
ich bin neu im Forum. Ich sehr wenig Erfahrung mit Matlab und versuche gerade eine Gleichung (Anhang) zu plotten. Dabei habe ich diverse Probleme, deshalb die Frage an euch, ob ihr mir einfach den "Quelltext" für das lösen meines Problems schicken könntet?
I=2000, d=0.002, n=7, µ_o=12.56*10^(-7), z=0.003
Plotten-->B_z(x,y) und B_z(x)
Ich hoffe mir kann jemand helfen!
Beste Grüße Lasse
| Beschreibung: |
|
 Download |
| Dateiname: |
Magnetfeld-Flachspule[1].jpg |
| Dateigröße: |
57.35 KB |
| Heruntergeladen: |
580 mal |
|
|
|
|
|
|
| plotter1987 |
Themenstarter

Forum-Newbie
|
 |
Beiträge: 3
|
 |
|
 |
Anmeldedatum: 16.08.12
|
 |
|
 |
Wohnort: ---
|
 |
|
 |
Version: ---
|
 |
|
|
 |
|
Verfasst am: 17.08.2012, 11:32
Titel:
|
 |
|
|
|
| Goofy9020 |

Forum-Century
|
 |
Beiträge: 164
|
 |
|
 |
Anmeldedatum: 10.08.11
|
 |
|
 |
Wohnort: ---
|
 |
|
 |
Version: 2009a, 2010b
|
 |
|
|
 |
|
Verfasst am: 17.08.2012, 12:47
Titel:
|
 |
Die Wahrscheinlichkeit, dass dir jemand deine Aufgabe hier herunter schreibt und dir die Lösung gibt geht so ziemlich gegen 0.
Die Leute hier im Forum unterstützen dich aber gerne wenn du konkrete Probleme hast.
Nachdem du schreibst, dass du einige Probleme hast, zeig uns doch einfach mal was du bis jetzt gemacht hast und welche Probleme aufgetreten sind.
|
|
|
|
| plotter1987 |
Themenstarter

Forum-Newbie
|
 |
Beiträge: 3
|
 |
|
 |
Anmeldedatum: 16.08.12
|
 |
|
 |
Wohnort: ---
|
 |
|
 |
Version: ---
|
 |
|
|
 |
|
Verfasst am: 17.08.2012, 16:31
Titel:
|
 |
Also sagen wir so, ich war davon ausgegangen, nachdem ich Matlab nur für regelungstechnische Aufgaben verwendet habe, dass das ganze von zwei zentralen Befehlen abhängt. Einmal rechnen mit Matrizen und integrieren und zum anderen Plotten des Ganzen...wenn man diese kennt und anwenden kann sollte das ne sache von 2 minuten sein. für mich momentan jedoch leider nicht.
auch wenn ich die Zeit nicht habe, da ich das Ganze gestern für meine Bachelorarbeit brauche, werde ich mir dann wohl die Zeit nehmen müssen.
Danke
Gruß
|
|
|
|
|
|
|
Einstellungen und Berechtigungen
|
|
Du kannst Beiträge in dieses Forum schreiben. Du kannst auf Beiträge in diesem Forum antworten. Du kannst deine Beiträge in diesem Forum nicht bearbeiten. Du kannst deine Beiträge in diesem Forum nicht löschen. Du kannst an Umfragen in diesem Forum nicht mitmachen. Du kannst Dateien in diesem Forum posten Du kannst Dateien in diesem Forum herunterladen
|
|
Impressum
| Nutzungsbedingungen
| Datenschutz
| FAQ
| RSS
Hosted by:
Copyright © 2007 - 2026
goMatlab.de | Dies ist keine offizielle Website der Firma The Mathworks
MATLAB, Simulink, Stateflow, Handle Graphics, Real-Time Workshop, SimBiology, SimHydraulics, SimEvents, and xPC TargetBox are registered trademarks and The MathWorks, the L-shaped membrane logo, and Embedded MATLAB are trademarks of The MathWorks, Inc.
|
|