|
|
|
Householder QR-Zerlegung, Fehler im Algorithmus |
|
| Gast123 |
Gast
|
 |
Beiträge: ---
|
 |
|
 |
Anmeldedatum: ---
|
 |
|
 |
Wohnort: ---
|
 |
|
 |
Version: ---
|
 |
|
|
 |
|
Verfasst am: 17.04.2009, 12:49
Titel: Householder QR-Zerlegung, Fehler im Algorithmus
|
 |
Ich hab irgendwo im ALgorithmus einen (?) Fehler drin, ich weis aber leider nicht wo. könnte ihr mir helfen?
|
|
|
|
|
|
| Bijick |

Ehrenmitglied
|
 |
Beiträge: 914
|
 |
|
 |
Anmeldedatum: 18.06.07
|
 |
|
 |
Wohnort: Nürnberg
|
 |
|
 |
Version: R2006b, R2008b
|
 |
|
|
 |
|
Verfasst am: 17.04.2009, 13:04
Titel:
|
 |
Hallo Gast123,
woher weißt Du denn, dass es einen Fehler gibt? Bekommst Du eine Fehlermeldung? Die solltest Du dann bitte auch hier angeben (möglichst vollständig, insbesondere mit der Zeile, in der der Fehler auftaucht.
Oder bekommst Du nur falsche Ergebnisse? Dann gib bitte eine Beispielmatrix A mit gewünschtem und tatsächlichem Ergebnis für Q und R an.
Herzliche Grüße
Bijick
_________________
>> why
|
|
|
|
| Gast123 |
Gast
|
 |
Beiträge: ---
|
 |
|
 |
Anmeldedatum: ---
|
 |
|
 |
Wohnort: ---
|
 |
|
 |
Version: ---
|
 |
|
|
 |
|
Verfasst am: 17.04.2009, 13:18
Titel:
|
 |
also ein Beispielmatrix wäre:
und rauskommen sollte für Q(1,1)=-0,699 und für R(1,1)=-0,75
|
|
|
|
| Bijick |

Ehrenmitglied
|
 |
Beiträge: 914
|
 |
|
 |
Anmeldedatum: 18.06.07
|
 |
|
 |
Wohnort: Nürnberg
|
 |
|
 |
Version: R2006b, R2008b
|
 |
|
|
 |
|
Verfasst am: 17.04.2009, 13:55
Titel:
|
 |
Hallo Gast123,
für den Test braucht man noch die Funktion norm_euklid (auch wenn ich eine Vorstellung davon habe, was drin stehen sollte...) Woher kommt deine Ahnung, in welcher Zeile der Fehler ist? Woher hast Du den Algorithmus selbst entnommen (welches Buch, Skript, etc?)
Herzliche Grüße
Bijick
_________________
>> why
|
|
|
|
| Gast123 |
Gast
|
 |
Beiträge: ---
|
 |
|
 |
Anmeldedatum: ---
|
 |
|
 |
Wohnort: ---
|
 |
|
 |
Version: ---
|
 |
|
|
 |
|
Verfasst am: 17.04.2009, 16:30
Titel:
|
 |
|
Achja norm_euklid ist in diesem Fall einfach der Betrag der Zahl, d.h. allgemein norm_euklid(a)=sqrt(a(1)^2+a(2)^2+...). Naja und den Algorithmus hab ich aus einem Skript.
|
|
|
|
| Bijick |

Ehrenmitglied
|
 |
Beiträge: 914
|
 |
|
 |
Anmeldedatum: 18.06.07
|
 |
|
 |
Wohnort: Nürnberg
|
 |
|
 |
Version: R2006b, R2008b
|
 |
|
|
 |
|
Verfasst am: 17.04.2009, 16:49
Titel:
|
 |
Hallo Gast123,
dann verstehe ich nicht ganz, was das hier bedeuten soll:
Ich meinte eigentlich "welches Skript?". Und die Vermutung zur Fehlermeldung?
Herzliche Grüße
Bijick
_________________
>> why
|
|
|
|
| Gast123 |
Gast
|
 |
Beiträge: ---
|
 |
|
 |
Anmeldedatum: ---
|
 |
|
 |
Wohnort: ---
|
 |
|
 |
Version: ---
|
 |
|
|
 |
|
Verfasst am: 18.04.2009, 14:05
Titel:
|
 |
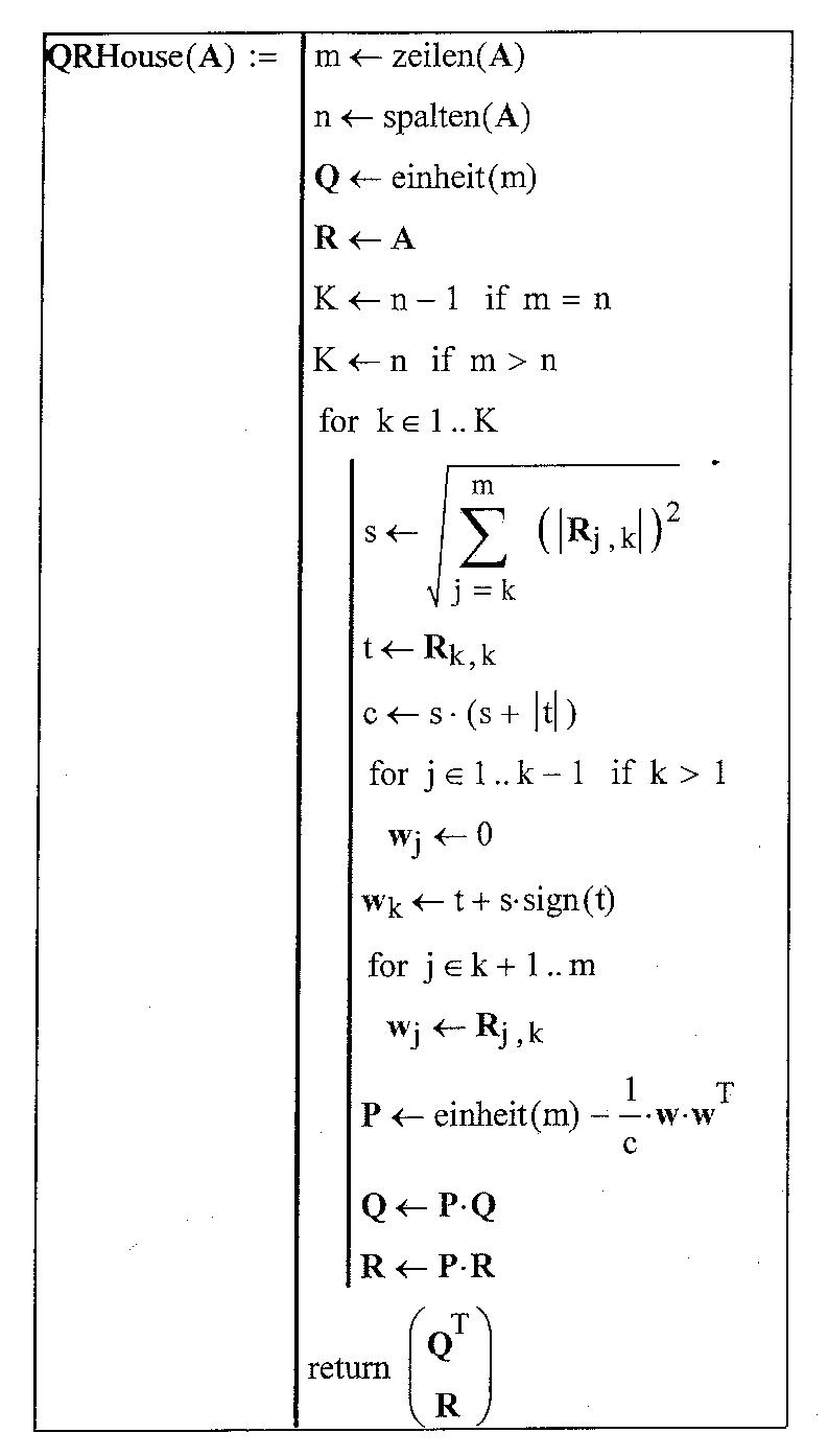
So ich hab jetzt mal das Skript hochgeladen, vll findet ja jemand den Fehler in meinen Code, der nicht mit dem Skript überein stimmt.
vielen Dank für die Mühe bisher javascript:emoticon(' ')
| Beschreibung: |
| Skript QR-Zerlegung (Householder) |
|
 Download |
| Dateiname: |
QR-Householder.jpg |
| Dateigröße: |
85.86 KB |
| Heruntergeladen: |
1945 mal |
|
|
|
|
| Gast123 |
Gast
|
 |
Beiträge: ---
|
 |
|
 |
Anmeldedatum: ---
|
 |
|
 |
Wohnort: ---
|
 |
|
 |
Version: ---
|
 |
|
|
 |
|
Verfasst am: 20.04.2009, 19:22
Titel:
|
 |
|
Danke für eure Hilfe. Ich hab den Fehler jetzt gefunden. Es liegt an der If-Schleife und der Definition für w als Spaltenvektor.
|
|
|
|
|
|
|
Einstellungen und Berechtigungen
|
|
Du kannst Beiträge in dieses Forum schreiben. Du kannst auf Beiträge in diesem Forum antworten. Du kannst deine Beiträge in diesem Forum nicht bearbeiten. Du kannst deine Beiträge in diesem Forum nicht löschen. Du kannst an Umfragen in diesem Forum nicht mitmachen. Du kannst Dateien in diesem Forum posten Du kannst Dateien in diesem Forum herunterladen
|
|
Impressum
| Nutzungsbedingungen
| Datenschutz
| FAQ
| RSS
Hosted by:
Copyright © 2007 - 2026
goMatlab.de | Dies ist keine offizielle Website der Firma The Mathworks
MATLAB, Simulink, Stateflow, Handle Graphics, Real-Time Workshop, SimBiology, SimHydraulics, SimEvents, and xPC TargetBox are registered trademarks and The MathWorks, the L-shaped membrane logo, and Embedded MATLAB are trademarks of The MathWorks, Inc.
|
|