|
|
|
Integral approximieren mit MatLab |
|
| boobler |

Forum-Newbie
|
 |
Beiträge: 2
|
 |
|
 |
Anmeldedatum: 27.04.10
|
 |
|
 |
Wohnort: ---
|
 |
|
 |
Version: ---
|
 |
|
|
 |
|
Verfasst am: 27.04.2010, 17:18
Titel: Integral approximieren mit MatLab
|
 |
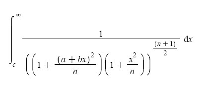
Hallo Leute! Ich habe ein Problem mit einem Integral (s. Bild). Konnte das nicht lösen und bekam ein Tip, es mit Matlab zu approximieren. Habe leider keine große Erfahrungen mit diesem klugen Programm. Ich möchte wissen, ob das überhaupt geht und wie?
Danke für eure Hilfe.
LG
boobler
| Beschreibung: |
|
 Download |
| Dateiname: |
integral.jpg |
| Dateigröße: |
8.55 KB |
| Heruntergeladen: |
1159 mal |
|
|
|
|
|
|
| Harald |

Forum-Meister
|
 |
Beiträge: 24.502
|
 |
|
 |
Anmeldedatum: 26.03.09
|
 |
|
 |
Wohnort: Nähe München
|
 |
|
 |
Version: ab 2017b
|
 |
|
|
 |
|
Verfasst am: 27.04.2010, 19:10
Titel:
|
 |
Hallo,
approximieren macht nur Sinn, wenn Werte für a,b,n vorgegeben sind (oder ein Gitter, für das das Integral ausgewertet werden soll).
Dann hilft QUAD; Beispiel siehe
Grüße,
Harald
|
|
|
|
| boobler |
Themenstarter

Forum-Newbie
|
 |
Beiträge: 2
|
 |
|
 |
Anmeldedatum: 27.04.10
|
 |
|
 |
Wohnort: ---
|
 |
|
 |
Version: ---
|
 |
|
|
 |
|
Verfasst am: 29.04.2010, 11:37
Titel:
|
 |
| Harald hat Folgendes geschrieben: |
Hallo,
approximieren macht nur Sinn, wenn Werte für a,b,n vorgegeben sind (oder ein Gitter, für das das Integral ausgewertet werden soll).
Dann hilft QUAD; Beispiel siehe
Grüße,
Harald |
Vielen Dank! Wissen Sie, mit welchem Programm ich approximieren kann, wenn a,b,n mir unbekannt sind?
|
|
|
|
| Harald |

Forum-Meister
|
 |
Beiträge: 24.502
|
 |
|
 |
Anmeldedatum: 26.03.09
|
 |
|
 |
Wohnort: Nähe München
|
 |
|
 |
Version: ab 2017b
|
 |
|
|
 |
|
Verfasst am: 29.04.2010, 13:29
Titel:
|
 |
Hallo,
wenn a,b,n unbekannt sind, ist es meines Wissens unmöglich, eine Approximation durchzuführen, da bei solchen Methoden das Resultat immer eine Zahl und keine Formel sein wird.
Man könnte versuchen, mit der Symbolic Math Toolbox eine exakte Lösung in Abhängigkeit von a,b,n zu bekommen, aber angesichts der Komplexität der Funktion sehe ich da geringe Aussicht auf Erfolg (da das Programm dann im Grunde versuchen würde, analytisch eine Stammfunktion zu finden, und da sieht es meiner Ansicht nach schlecht aus).
Grüße,
Harald
|
|
|
|
|
|
|
Einstellungen und Berechtigungen
|
|
Du kannst Beiträge in dieses Forum schreiben. Du kannst auf Beiträge in diesem Forum antworten. Du kannst deine Beiträge in diesem Forum nicht bearbeiten. Du kannst deine Beiträge in diesem Forum nicht löschen. Du kannst an Umfragen in diesem Forum nicht mitmachen. Du kannst Dateien in diesem Forum posten Du kannst Dateien in diesem Forum herunterladen
|
|
Impressum
| Nutzungsbedingungen
| Datenschutz
| FAQ
| RSS
Hosted by:
Copyright © 2007 - 2026
goMatlab.de | Dies ist keine offizielle Website der Firma The Mathworks
MATLAB, Simulink, Stateflow, Handle Graphics, Real-Time Workshop, SimBiology, SimHydraulics, SimEvents, and xPC TargetBox are registered trademarks and The MathWorks, the L-shaped membrane logo, and Embedded MATLAB are trademarks of The MathWorks, Inc.
|
|