|
|
|
Integral führt zu Fehlermeldung |
|
| Knolli |

Forum-Newbie
|
 |
Beiträge: 8
|
 |
|
 |
Anmeldedatum: 24.10.09
|
 |
|
 |
Wohnort: ---
|
 |
|
 |
Version: ---
|
 |
|
|
 |
|
Verfasst am: 25.10.2009, 14:31
Titel: Integral führt zu Fehlermeldung
|
 |
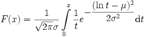
HEi ich habe versucht, die im Anhang enthaltene Funktion bei Matlab einzugeben.
Dazu habe ich folgendes eingetippt:
x=[0:0.01:10];
>> v=1;
>> n=1;
>> syms t
>> y=(1./(sqrt(2*pi)*v))*int((1./t)*exp((((-1).*(log(x)-n).^2))/(2*v^2)),t,0,x);
und daraufhin nach ca.5-10 Minuten rechenzeit folgende Fehlermeldung erhalten:
Warning: Explicit integral could not be found.
Wenn jemand denFehler findet - und mir bescheid gibt, fände ich das total super
| Beschreibung: |
|
 Download |
| Dateiname: |
50bdcd5089deb20037c7541e5cc35e2a.png |
| Dateigröße: |
1.64 KB |
| Heruntergeladen: |
579 mal |
|
|
|
|
|
|
| Harald |

Forum-Meister
|
 |
Beiträge: 24.502
|
 |
|
 |
Anmeldedatum: 26.03.09
|
 |
|
 |
Wohnort: Nähe München
|
 |
|
 |
Version: ab 2017b
|
 |
|
|
 |
|
Verfasst am: 25.10.2009, 20:22
Titel:
|
 |
Hallo,
du versuchst quasi, eine Stammfunktion zu finden, und MATLAB findet keine. Die Alternative ist numerische Integration mit quad und function handles, z.B. so (nicht unbedingt die effizienteste Variante, aber sollte funktionieren):
Grüße,
Harald
|
|
|
|
|
|
|
Einstellungen und Berechtigungen
|
|
Du kannst Beiträge in dieses Forum schreiben. Du kannst auf Beiträge in diesem Forum antworten. Du kannst deine Beiträge in diesem Forum nicht bearbeiten. Du kannst deine Beiträge in diesem Forum nicht löschen. Du kannst an Umfragen in diesem Forum nicht mitmachen. Du kannst Dateien in diesem Forum posten Du kannst Dateien in diesem Forum herunterladen
|
|
Impressum
| Nutzungsbedingungen
| Datenschutz
| FAQ
| RSS
Hosted by:
Copyright © 2007 - 2026
goMatlab.de | Dies ist keine offizielle Website der Firma The Mathworks
MATLAB, Simulink, Stateflow, Handle Graphics, Real-Time Workshop, SimBiology, SimHydraulics, SimEvents, and xPC TargetBox are registered trademarks and The MathWorks, the L-shaped membrane logo, and Embedded MATLAB are trademarks of The MathWorks, Inc.
|
|