|
|
|
komplexe (zweiseitige) Zeigerdiagramme |
|
| JohnWest |

Forum-Newbie
|
 |
Beiträge: 2
|
 |
|
 |
Anmeldedatum: 28.11.11
|
 |
|
 |
Wohnort: ---
|
 |
|
 |
Version: ---
|
 |
|
|
 |
|
Verfasst am: 28.11.2011, 20:29
Titel: komplexe (zweiseitige) Zeigerdiagramme
|
 |
Hi, ich bin ein absoluter Neuling mit Matlab. Nun soll ich komplexe (zweiseitge) Zeigerdiagramme zeichnen und habe aber keine Ahnung wie dies genau gehen soll.
Lässt sich diese Aufgabe mit Matlab lösen? Wäre nett, wenn ihr mit weiterhelfen könntet.
Grüße John
| Beschreibung: |
| Hier die dazu gehörige Aufgabenstellung |
|
 Download |
| Dateiname: |
komplexe_Zeigerdiagramme.jpg |
| Dateigröße: |
17.38 KB |
| Heruntergeladen: |
1442 mal |
|
|
|
|
|
|
| Jan S |

Moderator
|
 |
Beiträge: 11.057
|
 |
|
 |
Anmeldedatum: 08.07.10
|
 |
|
 |
Wohnort: Heidelberg
|
 |
|
 |
Version: 2009a, 2016b
|
 |
|
|
 |
|
Verfasst am: 28.11.2011, 22:22
Titel: Re: komplexe (zweiseitige) Zeigerdiagramme
|
 |
Hallo JohnWest,
Dies ist offenbar eine Hausaufgabe. Deshalb hast Du bestimmt Unterlagen darüber, was Du genau darstellen sollst. Im Gegensatz zu Dir haben wir diese Unterlagen nicht.
Fragen bzgl. Hausaufgaben werden in diesem Forum gewöhnlich nur beantwortet, wenn der Fragende zeigt, was er bereits geleistet hat und eine konkrete Frage stellt.
Gruß, Jan
|
|
|
|
| JohnWest |
Themenstarter

Forum-Newbie
|
 |
Beiträge: 2
|
 |
|
 |
Anmeldedatum: 28.11.11
|
 |
|
 |
Wohnort: ---
|
 |
|
 |
Version: ---
|
 |
|
|
 |
|
Verfasst am: 29.11.2011, 10:10
Titel:
|
 |
Hallo Jan,
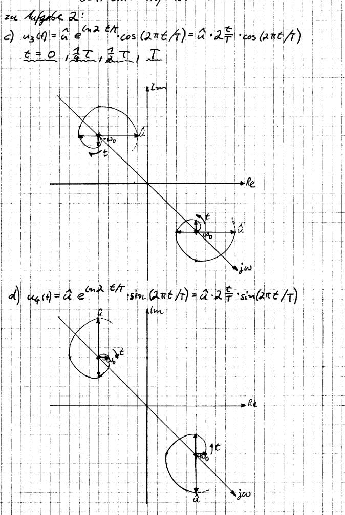
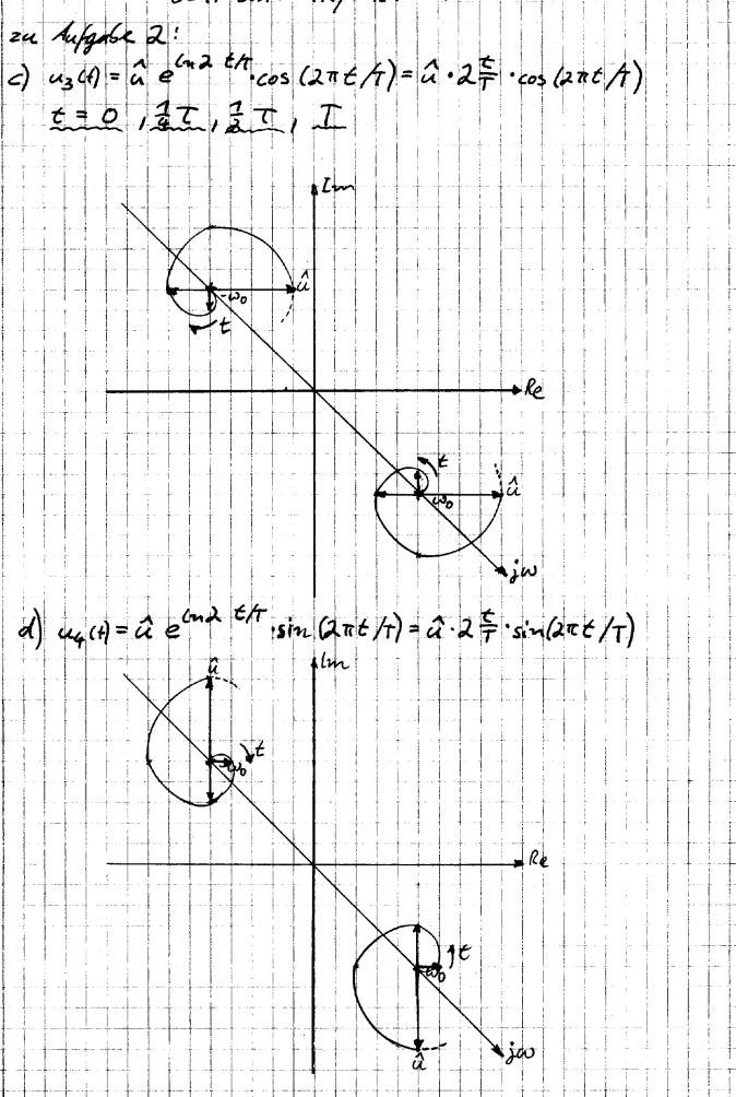
danke für deine Antwort. Wie man die Diagramme "händisch" löst, ist mir soweit schon klar, nur ich möchte nun, dass ganze in Matlab machen (zur besseren Darstellung). Nun ist halt die Frage, ob dies geht oder eben nicht.
Das Problem wo ich hierbei habe, dass u^ und T symbolische Konstanten sind ohne Werte und wie ich die Diagramme zeichen. Im Unterricht haben wir mit Matlab nichts gemacht, daher habe ich hier auch nur sehr wenig Erfahrung.
Im Anhang meine händische Lösung der Aufgabe.
Gruß John
| Beschreibung: |
|
 Download |
| Dateiname: |
Aufgabe2_c_d.jpg |
| Dateigröße: |
133.47 KB |
| Heruntergeladen: |
1440 mal |
| Beschreibung: |
|
 Download |
| Dateiname: |
Aufgabe2_c_d.jpg |
| Dateigröße: |
133.47 KB |
| Heruntergeladen: |
1403 mal |
|
|
|
|
|
|
|
Einstellungen und Berechtigungen
|
|
Du kannst Beiträge in dieses Forum schreiben. Du kannst auf Beiträge in diesem Forum antworten. Du kannst deine Beiträge in diesem Forum nicht bearbeiten. Du kannst deine Beiträge in diesem Forum nicht löschen. Du kannst an Umfragen in diesem Forum nicht mitmachen. Du kannst Dateien in diesem Forum posten Du kannst Dateien in diesem Forum herunterladen
|
|
Impressum
| Nutzungsbedingungen
| Datenschutz
| FAQ
| RSS
Hosted by:
Copyright © 2007 - 2026
goMatlab.de | Dies ist keine offizielle Website der Firma The Mathworks
MATLAB, Simulink, Stateflow, Handle Graphics, Real-Time Workshop, SimBiology, SimHydraulics, SimEvents, and xPC TargetBox are registered trademarks and The MathWorks, the L-shaped membrane logo, and Embedded MATLAB are trademarks of The MathWorks, Inc.
|
|