|
|
|
Kondensatorspannung simulieren |
|
| EDA_11 |

Forum-Anfänger
|
 |
Beiträge: 32
|
 |
|
 |
Anmeldedatum: 16.08.11
|
 |
|
 |
Wohnort: ---
|
 |
|
 |
Version: ---
|
 |
|
|
 |
|
Verfasst am: 25.08.2011, 16:08
Titel: Kondensatorspannung simulieren
|
 |
Hallo,
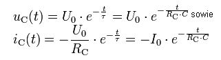
ich möchte einen elektrischen Stromkreis simulieren, welcher durch einen Kondensator mit Spannung versorgt wird.
Meine Frage ist, wie ich die Gleichung für die Spannung u simulieren kann.
Meine Kondensatorspannung tritt in meiner Diff.-Gleichung bis jetzt als konstanter Wert Uc auf.
Ist dies falsch oder kann ich die Gleichung wie im Anhang für U hinterlegen, wobei da die Zeitabhängigkeit mein Problem ist.
MfG
Frank
| Beschreibung: |
|
 Download |
| Dateiname: |
Unbenannt.JPG |
| Dateigröße: |
13.07 KB |
| Heruntergeladen: |
1064 mal |
|
|
|
|
|
|
| DSP |

Forum-Meister
|
 |
Beiträge: 2.117
|
 |
|
 |
Anmeldedatum: 28.02.11
|
 |
|
 |
Wohnort: ---
|
 |
|
 |
Version: R2014b
|
 |
|
|
 |
|
Verfasst am: 25.08.2011, 18:18
Titel:
|
 |
Sehe da keinen Fehler...das gilt allerdings nur für die Entladung.
Beim Aufladen wäre es:
uc = U * (1 - e^-t/RC) bzw. i = + I*e^-t/RC
| Zitat: |
| Meine Kondensatorspannung tritt in meiner Diff.-Gleichung bis jetzt als konstanter Wert Uc auf. |
...das wäre falsch.
|
|
|
|
| EDA_11 |
Themenstarter

Forum-Anfänger
|
 |
Beiträge: 32
|
 |
|
 |
Anmeldedatum: 16.08.11
|
 |
|
 |
Wohnort: ---
|
 |
|
 |
Version: ---
|
 |
|
|
 |
|
Verfasst am: 25.08.2011, 19:44
Titel:
|
 |
Und wie simuliere ich dies dann?
Also wie bring ich die Zeitabhängigkeit t in mein Modell?
|
|
|
|
|
|
|
Einstellungen und Berechtigungen
|
|
Du kannst Beiträge in dieses Forum schreiben. Du kannst auf Beiträge in diesem Forum antworten. Du kannst deine Beiträge in diesem Forum nicht bearbeiten. Du kannst deine Beiträge in diesem Forum nicht löschen. Du kannst an Umfragen in diesem Forum nicht mitmachen. Du kannst Dateien in diesem Forum posten Du kannst Dateien in diesem Forum herunterladen
|
|
Impressum
| Nutzungsbedingungen
| Datenschutz
| FAQ
| RSS
Hosted by:
Copyright © 2007 - 2026
goMatlab.de | Dies ist keine offizielle Website der Firma The Mathworks
MATLAB, Simulink, Stateflow, Handle Graphics, Real-Time Workshop, SimBiology, SimHydraulics, SimEvents, and xPC TargetBox are registered trademarks and The MathWorks, the L-shaped membrane logo, and Embedded MATLAB are trademarks of The MathWorks, Inc.
|
|