|
|
| Mensch61 |

Forum-Anfänger
|
 |
Beiträge: 46
|
 |
|
 |
Anmeldedatum: 13.11.14
|
 |
|
 |
Wohnort: ---
|
 |
|
 |
Version: ---
|
 |
|
|
 |
|
Verfasst am: 23.12.2014, 10:57
Titel: Korrelation mit corrcoef
|
 |
Hallo,
ich hab ein kleines Verständnisproblem zur corrcoef Funktion.
Und zwar bekomm ich eine 86x86 matrix raus wenn ich die Funktion auf meine 96x86 Matrix anwende.Die Funktion soll ja wie ich es bis jetzt verstanden habe die Abhängigkeiten der Zeilen zeigen aber mir ist nicht klar weshalb die Zeilenanzahl sich verringert.
Hätte da jemand eine Erklärung?
Vielen Dank im Voraus
|
|
|
|
|
|
| Harald |

Forum-Meister
|
 |
Beiträge: 24.502
|
 |
|
 |
Anmeldedatum: 26.03.09
|
 |
|
 |
Wohnort: Nähe München
|
 |
|
 |
Version: ab 2017b
|
 |
|
|
 |
|
Verfasst am: 23.12.2014, 11:40
Titel:
|
 |
Hallo,
dann mal nochmal genau in die Doku schauen...
| Zitat: |
| [...] input matrix X whose rows are observations and whose columns are variables. |
es geht nämlich um die Korrelation der Spalten zueinander. Ggf. die Matrix vorher transponieren.
Grüße,
Harald
|
|
|
|
| Mensch61 |
Themenstarter

Forum-Anfänger
|
 |
Beiträge: 46
|
 |
|
 |
Anmeldedatum: 13.11.14
|
 |
|
 |
Wohnort: ---
|
 |
|
 |
Version: ---
|
 |
|
|
 |
|
Verfasst am: 23.12.2014, 13:29
Titel:
|
 |
|
Achsoo. Ich hab jetzt die Matrix transformiert und bekomm dann eine 96x96 Matrix raus. Zeigt mir jetzt die erste Spalte die Abhängigkeit von der ersten und zweite Spalte von der 96x86 Matrix an?
|
|
|
|
| Harald |

Forum-Meister
|
 |
Beiträge: 24.502
|
 |
|
 |
Anmeldedatum: 26.03.09
|
 |
|
 |
Wohnort: Nähe München
|
 |
|
 |
Version: ab 2017b
|
 |
|
|
 |
|
Verfasst am: 23.12.2014, 22:31
Titel:
|
 |
Hallo,
nicht ganz. Der Eintrag in der m-ten Zeile und n-ten Spalte des Ergebnisses von corrcoef zeigt dir an, wie stark die m-te und n-te Spalte des Inputs korreliert sind.
Für die erste und zweite Spalte findest du die Korrelation also in M(1,2)
Grüße,
Harald
|
|
|
|
| Mensch61 |
Themenstarter

Forum-Anfänger
|
 |
Beiträge: 46
|
 |
|
 |
Anmeldedatum: 13.11.14
|
 |
|
 |
Wohnort: ---
|
 |
|
 |
Version: ---
|
 |
|
|
 |
|
Verfasst am: 24.12.2014, 10:36
Titel:
|
 |
Im Klartext bedeutet das Abhängigkeit von 2 und 3 Spalte zeigt M(1,3)=dritte Spalte, die Abhängigkeit von 3 und 4 zeigt M(1,4)=vierte Spalte usw.
Gibt es eine Möglichkeit das auch grafisch zu zeigen so etwas wie ein Korrelationsdiagramm?
|
|
|
|
| Harald |

Forum-Meister
|
 |
Beiträge: 24.502
|
 |
|
 |
Anmeldedatum: 26.03.09
|
 |
|
 |
Wohnort: Nähe München
|
 |
|
 |
Version: ab 2017b
|
 |
|
|
 |
|
Verfasst am: 24.12.2014, 13:09
Titel:
|
 |
Hallo,
der Klartext ist für mich jetzt nicht wirklich klar...
Du kannst das Ergebnis z.B. mit imagesc visualisieren.
Denkbar wäre z.B. auch plotmatrix, was allerdings eher für kleinere Matrizen geeignet ist.
Hast du ein Beispiel, wie das Ergebnis aussehen soll?
Grüße,
Harald
|
|
|
|
| Mensch61 |
Themenstarter

Forum-Anfänger
|
 |
Beiträge: 46
|
 |
|
 |
Anmeldedatum: 13.11.14
|
 |
|
 |
Wohnort: ---
|
 |
|
 |
Version: ---
|
 |
|
|
 |
|
Verfasst am: 24.12.2014, 13:38
Titel:
|
 |
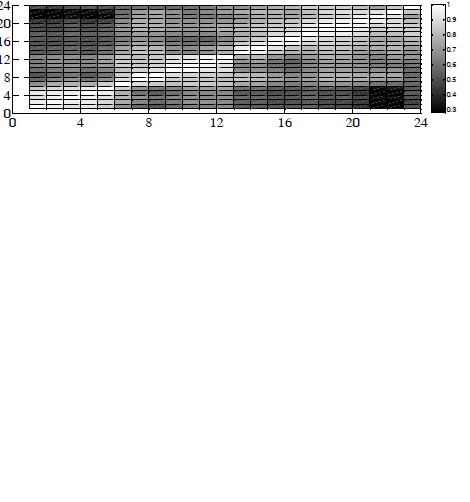
Der Klartext hab mich wohl nicht so klar gemacht.Also ich meine die Abhängigkeit von der zweiten und dritten Spalte liegt dann in M(1,3).
Ich hab mal ein Bild angehängt.So könnte es aussehen
| Beschreibung: |
|
 Download |
| Dateiname: |
Unbenannt.jpg |
| Dateigröße: |
37.83 KB |
| Heruntergeladen: |
598 mal |
|
|
|
|
| Harald |

Forum-Meister
|
 |
Beiträge: 24.502
|
 |
|
 |
Anmeldedatum: 26.03.09
|
 |
|
 |
Wohnort: Nähe München
|
 |
|
 |
Version: ab 2017b
|
 |
|
|
 |
|
Verfasst am: 24.12.2014, 15:12
Titel:
|
 |
Hallo,
ich würde es so sagen: die Korrelation der zweiten Spalte mit der dritten Spalte steht in M(2, 3).
Für die gewünschte Visualisierung würde ich imagesc oder pcolor versuchen.
Grüße,
Harald
|
|
|
|
| Mensch61 |
Themenstarter

Forum-Anfänger
|
 |
Beiträge: 46
|
 |
|
 |
Anmeldedatum: 13.11.14
|
 |
|
 |
Wohnort: ---
|
 |
|
 |
Version: ---
|
 |
|
|
 |
|
Verfasst am: 24.12.2014, 15:31
Titel:
|
 |
|
Damit ich es richtig verstehe also mit M(2,3) meinst du zweite Zeile dritte Spalte
|
|
|
|
| Harald |

Forum-Meister
|
 |
Beiträge: 24.502
|
 |
|
 |
Anmeldedatum: 26.03.09
|
 |
|
 |
Wohnort: Nähe München
|
 |
|
 |
Version: ab 2017b
|
 |
|
|
 |
|
Verfasst am: 24.12.2014, 18:51
Titel:
|
 |
Hallo,
genau, die übliche Indizierung in MATLAB.
Da die Korrelationsmatrix aber ja symmetrisch ist, schadet es auch nicht, die Indizes zu vertauschen.
Grüße,
Harald
|
|
|
|
| Mensch61 |
Themenstarter

Forum-Anfänger
|
 |
Beiträge: 46
|
 |
|
 |
Anmeldedatum: 13.11.14
|
 |
|
 |
Wohnort: ---
|
 |
|
 |
Version: ---
|
 |
|
|
 |
|
Verfasst am: 25.12.2014, 18:58
Titel:
|
 |
|
Weißt du auch vielleicht wie man die Achsen skaliert bei imagesc wie auf dem Bild?
|
|
|
|
| Harald |

Forum-Meister
|
 |
Beiträge: 24.502
|
 |
|
 |
Anmeldedatum: 26.03.09
|
 |
|
 |
Wohnort: Nähe München
|
 |
|
 |
Version: ab 2017b
|
 |
|
|
 |
|
Verfasst am: 26.12.2014, 12:22
Titel:
|
 |
Hallo,
du kannst imagesc auch mit imagesc(x,y,Z) aufrufen und so die Achsen beliebig skalieren.
Falls das nicht weiterhilft, bitte genauer erklären, was du momentan hast und worin dabei das Problem liegt.
Grüße,
Harald
|
|
|
|
| Mensch61 |
Themenstarter

Forum-Anfänger
|
 |
Beiträge: 46
|
 |
|
 |
Anmeldedatum: 13.11.14
|
 |
|
 |
Wohnort: ---
|
 |
|
 |
Version: ---
|
 |
|
|
 |
|
Verfasst am: 26.12.2014, 16:36
Titel:
|
 |
Ja habs jetzt mit hingekriegt mit diesem Code.Danke
|
|
|
|
|
|
|
Einstellungen und Berechtigungen
|
|
Du kannst Beiträge in dieses Forum schreiben. Du kannst auf Beiträge in diesem Forum antworten. Du kannst deine Beiträge in diesem Forum nicht bearbeiten. Du kannst deine Beiträge in diesem Forum nicht löschen. Du kannst an Umfragen in diesem Forum nicht mitmachen. Du kannst Dateien in diesem Forum posten Du kannst Dateien in diesem Forum herunterladen
|
|
Impressum
| Nutzungsbedingungen
| Datenschutz
| FAQ
| RSS
Hosted by:
Copyright © 2007 - 2026
goMatlab.de | Dies ist keine offizielle Website der Firma The Mathworks
MATLAB, Simulink, Stateflow, Handle Graphics, Real-Time Workshop, SimBiology, SimHydraulics, SimEvents, and xPC TargetBox are registered trademarks and The MathWorks, the L-shaped membrane logo, and Embedded MATLAB are trademarks of The MathWorks, Inc.
|
|