|
|
|
Kraft mit doppel integral |
|
| TheFinger |

Forum-Anfänger
|
 |
Beiträge: 28
|
 |
|
 |
Anmeldedatum: 14.05.11
|
 |
|
 |
Wohnort: ---
|
 |
|
 |
Version: ---
|
 |
|
|
 |
|
Verfasst am: 30.05.2011, 15:03
Titel: Kraft mit doppel integral
|
 |
Hallo zusammen,
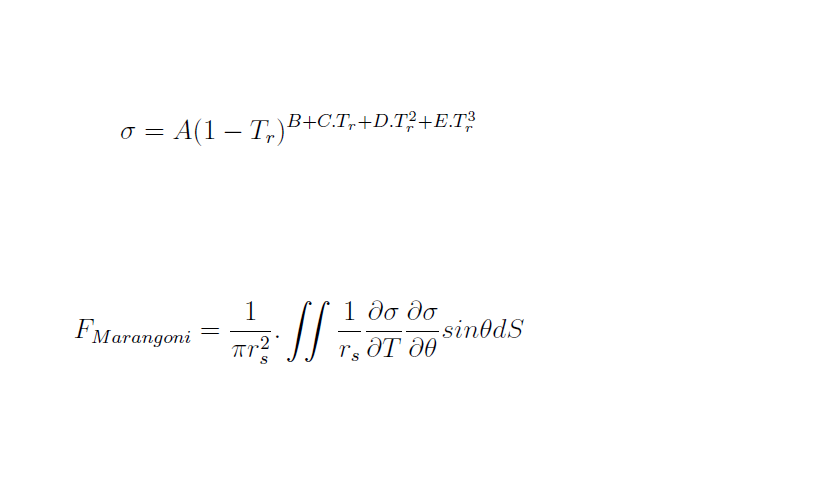
ich möchte eine Kraft in Matlab ausrechnen, die Formeln habe ich im Bild eingefügt.
Erstes Problem ist bei sigma: das sind werte im Grunde von der Form 118*(-0.6)^3.4. Matlab spuckt mir aber eine komplexe Zahl!!! Wieso ?? und wie kann ich das beheben?? Irgendwie wenn die Potenz eine Dezimalzahl ist, gibt Matlab eine komplexe Zahl wieder!??
Zweites Problem: ist meine Funktion für die Kraft F richtig eingegeben? oder habe ich mein Doppelintegral falsch geschrieben??
P.S.: Matlab erkennt auch nicht dass r eine Variable ist wonach er integriere soll und an den Stellen r_0 und r_end auswerten!?? Wie würde das sonst gehen?
Bin für jeden Hinweis dankbar
| Beschreibung: |
|
 Download |
| Dateiname: |
bild.png |
| Dateigröße: |
19.63 KB |
| Heruntergeladen: |
399 mal |
|
|
|
|
|
|
|
|
|
Einstellungen und Berechtigungen
|
|
Du kannst Beiträge in dieses Forum schreiben. Du kannst auf Beiträge in diesem Forum antworten. Du kannst deine Beiträge in diesem Forum nicht bearbeiten. Du kannst deine Beiträge in diesem Forum nicht löschen. Du kannst an Umfragen in diesem Forum nicht mitmachen. Du kannst Dateien in diesem Forum posten Du kannst Dateien in diesem Forum herunterladen
|
|
Impressum
| Nutzungsbedingungen
| Datenschutz
| FAQ
| RSS
Hosted by:
Copyright © 2007 - 2026
goMatlab.de | Dies ist keine offizielle Website der Firma The Mathworks
MATLAB, Simulink, Stateflow, Handle Graphics, Real-Time Workshop, SimBiology, SimHydraulics, SimEvents, and xPC TargetBox are registered trademarks and The MathWorks, the L-shaped membrane logo, and Embedded MATLAB are trademarks of The MathWorks, Inc.
|
|