|
|
|
Länge einer Linie zwischen zwei Punkten |
|
| K2daL |

Forum-Newbie
|
 |
Beiträge: 3
|
 |
|
 |
Anmeldedatum: 02.01.14
|
 |
|
 |
Wohnort: ---
|
 |
|
 |
Version: ---
|
 |
|
|
 |
|
Verfasst am: 16.02.2014, 22:29
Titel: Länge einer Linie zwischen zwei Punkten
|
 |
Hallo,
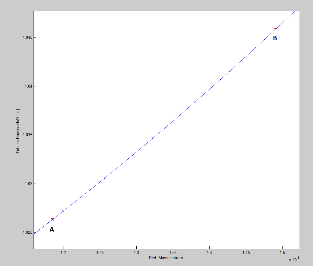
ich habe einen Graphen und würde gern die Länge des Graphens zwischen zwei gegebenen Punkten bestimmen. Im Anhang ist dargestellt, wie ich das meine. Ich habe eine Linie gegeben, die durch die blauen x-Symbole beschrieben wird. Zusätzlich habe ich zwei rote Viereck-Symbole A und B, zwischen denen ich die Länge der Linie bestimmen möchte. Meine Frage ist nun, ob es dafür eine Funktion in Matlab gibt oder ob ich das ganze über den Satz des Pythagoras für den Abstand zwischen jedem einzelnen Punkt händisch programmieren muss.
Vielen Dank für eure Hilfe!
Grüße,
Kilian
| Beschreibung: |
|
 Download |
| Dateiname: |
laenge_linie.png |
| Dateigröße: |
14.49 KB |
| Heruntergeladen: |
687 mal |
|
|
|
|
|
|
| Harald |

Forum-Meister
|
 |
Beiträge: 24.502
|
 |
|
 |
Anmeldedatum: 26.03.09
|
 |
|
 |
Wohnort: Nähe München
|
 |
|
 |
Version: ab 2017b
|
 |
|
|
 |
|
Verfasst am: 16.02.2014, 23:19
Titel:
|
 |
Hallo,
mir ist keine Funktion dafür bekannt, aber wenn ich das richtig sehe, ist es ja ein Einzeiler:
Grüße,
Harald
|
|
|
|
| Jan S |

Moderator
|
 |
Beiträge: 11.057
|
 |
|
 |
Anmeldedatum: 08.07.10
|
 |
|
 |
Wohnort: Heidelberg
|
 |
|
 |
Version: 2009a, 2016b
|
 |
|
|
 |
|
Verfasst am: 16.02.2014, 23:40
Titel: Re: Länge einer Linie zwischen zwei Punkten
|
 |
Hallo K2daL,
Hast Du die Koordinaten der roten Quatrate?
Ist die Euklidische Distanz gemeint? Oder kann die Verbindungslinie zwischen den Punkten auch Knicke aufweisen und Du suchst nach der Länge der Verbindungskurve?
Der NORM() Befehl hilft ebenfalls.
Gruß, Jan
|
|
|
|
| K2daL |
Themenstarter

Forum-Newbie
|
 |
Beiträge: 3
|
 |
|
 |
Anmeldedatum: 02.01.14
|
 |
|
 |
Wohnort: ---
|
 |
|
 |
Version: ---
|
 |
|
|
 |
|
Verfasst am: 17.02.2014, 00:31
Titel:
|
 |
|
Beide Punkte sind gegeben. In der Abbildung ist das vielleicht nicht ganz sichtbar, aber die Linie hat Knicke, von daher ist der Euklidische Länge nicht ganz genau. Ich wollte nur wissen, ob es dafür eine Funktion gibt, ansonsten würde ich das genauso wie Harald machen.
|
|
|
|
| ententeich |

Forum-Anfänger
|
 |
Beiträge: 17
|
 |
|
 |
Anmeldedatum: 12.02.14
|
 |
|
 |
Wohnort: ---
|
 |
|
 |
Version: ---
|
 |
|
|
 |
|
Verfasst am: 17.02.2014, 12:20
Titel:
|
 |
ich verstehe das jetzt so, dass du die Länge der Kurve von Punkt a bis b möchtest. also das Kurvenintegral in den grenzen a bis b. Ich glaube das geht mit Matlab.
Wenn du wirklich nur diese Punkte hast, kannst du es nicht genauer machen als die längen der teilabstände zu addieren. Alles andere wäre genauer als die Messung. Würde also keinen sinn machen.
Strecke AD wäre dann Strecken AB+BC+CD
gruß simon
|
|
|
|
|
|
|
Einstellungen und Berechtigungen
|
|
Du kannst Beiträge in dieses Forum schreiben. Du kannst auf Beiträge in diesem Forum antworten. Du kannst deine Beiträge in diesem Forum nicht bearbeiten. Du kannst deine Beiträge in diesem Forum nicht löschen. Du kannst an Umfragen in diesem Forum nicht mitmachen. Du kannst Dateien in diesem Forum posten Du kannst Dateien in diesem Forum herunterladen
|
|
Impressum
| Nutzungsbedingungen
| Datenschutz
| FAQ
| RSS
Hosted by:
Copyright © 2007 - 2026
goMatlab.de | Dies ist keine offizielle Website der Firma The Mathworks
MATLAB, Simulink, Stateflow, Handle Graphics, Real-Time Workshop, SimBiology, SimHydraulics, SimEvents, and xPC TargetBox are registered trademarks and The MathWorks, the L-shaped membrane logo, and Embedded MATLAB are trademarks of The MathWorks, Inc.
|
|