WICHTIG: Der Betrieb von goMatlab.de wird privat finanziert fortgesetzt. - Mehr Infos...

Mein MATLAB Forum - goMatlab.de

Mein MATLAB Forum

 
Gast > Registrieren       Autologin?   

Partner:




Forum
      Option
[Erweitert]
  • Diese Seite per Mail weiterempfehlen
     


Gehe zu:  
Neues Thema eröffnen Neue Antwort erstellen

Lösung einer partielle Differentialgleichung (parabolisch)

 

caceres.sergio
Forum-Newbie

Forum-Newbie


Beiträge: 1
Anmeldedatum: 16.03.20
Wohnort: ---
Version: ---
     Beitrag Verfasst am: 16.03.2020, 15:11     Titel: Lösung einer partielle Differentialgleichung (parabolisch)
  Antworten mit Zitat      
Hallo,

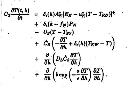
zurzeit versuche ich eine partielle Differentialgleichung zu lösen. Die beschreibt die Änderung der Speichertemperatur eines Sonnenkollektorkreises.

Diese Gleichung ist von der Zeit und Höhe des Speicher abhängig (parabolisch). Jede Funktion habe ich separat gespeichert. Der Befehl, der ich für die Lösung benutze ist "pdepe". Für die Funktion "pdeTbc" (boundary conditions) habe ich erstmals ein paar Annahmen gemacht, dass die alle gleich Null sind, da ich ehrlich gesagt noch nicht verstanden habe, was ich de einsetzen sollte.

Wenn ich versuche, des zu lösen, bekomme ich die folgende Fehlermeldung:

// Undefined function or variable 'u'.

Error in pdeTsol (line 4)
[c,f,s] = pdeTpde(h,t,u,dudh); % Equation to solve //

Ich möchte gang genau diese Funktion bestimmen und weiß nicht wieso ich dieses Variable definieren sollte.

Ich bedanke mich für jeden Tipp, Hilfe, die mir zu einer Lösung bringen könnte.

Code:

function [c,f,s] = pdeTpde(h,t,u,dudh) % Equation to solve

% Ac_star:effective collector area [m2]
% uc_star: effective heat-loss coefficient of the collector loop [W/m2K]
% Us: heat-loss rate of the store per unit temperature difference [W/K]
% Cs: heat capacity of the sotre [MJ/K] / Value >= 0.1
% DL: mixing constant [-] / Value between [0,5]
% Sc: store stratification [-]
% faux: fractio of the store volume used for auxiliary heatin [-] / Value between [0,1]

% Estimated parameters

Ac_star = 5.267;
uc_star = 9.488;
Us = 2.16;
Cs = 1.539;
DL = 0.01723;

rhow = 1000.0; % assumption for the first calculations [kg/m3]
cpw = 4190.0; % assumption for the first calculations [J/kgK]
Vl = 0;
Cs_dot = Vl*rhow*cpw; % load-side heat capacitance rate through the store [W/K]  
b = 1;
a = 1;
epsilon = 1;
deltae = 1;

Icdiffc = 1173;
Tca = 16.1+273.15;
Tsa = 15.6+273.15;
Tcw = 14.7+273.15;

c = Cs*1e6;
f = DL*Cs_dot*dudh + b*exp((-a/epsilon)*dudh)*dudh;
s = deltae*Ac_star*(Icdiffc - uc_star*(u-Tca)) - Us*(u-Tsa) + Cs_dot*(-dudh + deltae*(Tcw-u));
% dTsdt = (deltae*Ac_star*(Icdiffc - uc_star*(Ts-Tca)) - Us*(Ts-Tsa) + Cs_dot*(deltae*(Tcw-Ts)))/(Cs*1e6)
end

function [u0] = pdeTic() % Initial conditions
u0 = 14.7+273.15; % initial storage temperature
end

function [pl,ql,pr,qr] = pdeTbc() % Boundary conditions
pl = 0;
ql = 0;
pr = 0;
qr = 0;
end


h = linspace(0,1,20);
t = linspace(0,2,5);

[c,f,s] = pdeTpde(h,t,u,dudh); % Equation to solve

[u0] = pdeTic(); % Initial conditions

[pl,ql,pr,qr] = pdeTbc(); % Boundary conditions

m = 0;
sol = pdepe(m,@pdeTpde,@pdeTic,@pdeTbc,h,t);
u = sol(:,:,1);

surf(h,t,u)
title('Numerical solution computed with 20 mesh points')
xlabel('Distance h')
ylabel('Time t')
 


Grüße
Sergio

PDFG.PNG
 Beschreibung:

Download
 Dateiname:  PDFG.PNG
 Dateigröße:  33.2 KB
 Heruntergeladen:  614 mal
Private Nachricht senden Benutzer-Profile anzeigen


Neues Thema eröffnen Neue Antwort erstellen



Einstellungen und Berechtigungen
Beiträge der letzten Zeit anzeigen:

Du kannst Beiträge in dieses Forum schreiben.
Du kannst auf Beiträge in diesem Forum antworten.
Du kannst deine Beiträge in diesem Forum nicht bearbeiten.
Du kannst deine Beiträge in diesem Forum nicht löschen.
Du kannst an Umfragen in diesem Forum nicht mitmachen.
Du kannst Dateien in diesem Forum posten
Du kannst Dateien in diesem Forum herunterladen
.





 Impressum  | Nutzungsbedingungen  | Datenschutz | FAQ | goMatlab RSS Button RSS

Hosted by:


Copyright © 2007 - 2026 goMatlab.de | Dies ist keine offizielle Website der Firma The Mathworks

MATLAB, Simulink, Stateflow, Handle Graphics, Real-Time Workshop, SimBiology, SimHydraulics, SimEvents, and xPC TargetBox are registered trademarks and The MathWorks, the L-shaped membrane logo, and Embedded MATLAB are trademarks of The MathWorks, Inc.