|
|
| Sam |

Forum-Anfänger
|
 |
Beiträge: 12
|
 |
|
 |
Anmeldedatum: 08.03.09
|
 |
|
 |
Wohnort: ---
|
 |
|
 |
Version: ---
|
 |
|
|
 |
|
Verfasst am: 21.06.2009, 09:55
Titel: m-file eines Schwingweg
|
 |
Hallo
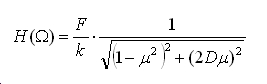
ich möchte den Schwingweg eines schwingers mit matlab aufzeichnen aber es erscheint meine meinung nach etwas nicht richtig, ist die m-file korrekt?(gleichung auf datei zu sehen)
danke für eine Antwort
%Schwinweg des gedämpften Einmassenschwingers bezogen auf die
%statische Auslenkung
for i = 2:2:10
D = 0.2 * i;
mu=(0:.01:3)';
m=1;
k=1;
g=10;
F=m*g;
H(:,i) = (F./k)./[sqrt((1+4*D^2*mu.^2)./((1-mu.^2).^2+4*D^2*mu.^2))];
end
figure(2)
plot(mu, H(:,2:2:10));
%title ('Frequenzgang Auslenkungsamplitude');
xlabel('Frequenzverhältnis \mu=\Omega/\omega');
ylabel ('Schwingweg[dB]');
grid on;
legend('m = 1','k = 1','D = 0.1','m = 1','k = 1','D = 0.2');
axis([0 3 0 4]);
| Beschreibung: |
|
 Download |
| Dateiname: |
screen.jpg |
| Dateigröße: |
9.08 KB |
| Heruntergeladen: |
810 mal |
|
|
|
|
|
|
|
|
|
Einstellungen und Berechtigungen
|
|
Du kannst Beiträge in dieses Forum schreiben. Du kannst auf Beiträge in diesem Forum antworten. Du kannst deine Beiträge in diesem Forum nicht bearbeiten. Du kannst deine Beiträge in diesem Forum nicht löschen. Du kannst an Umfragen in diesem Forum nicht mitmachen. Du kannst Dateien in diesem Forum posten Du kannst Dateien in diesem Forum herunterladen
|
|
Impressum
| Nutzungsbedingungen
| Datenschutz
| FAQ
| RSS
Hosted by:
Copyright © 2007 - 2026
goMatlab.de | Dies ist keine offizielle Website der Firma The Mathworks
MATLAB, Simulink, Stateflow, Handle Graphics, Real-Time Workshop, SimBiology, SimHydraulics, SimEvents, and xPC TargetBox are registered trademarks and The MathWorks, the L-shaped membrane logo, and Embedded MATLAB are trademarks of The MathWorks, Inc.
|
|