|
|
| Serious |
Gast
|
 |
Beiträge: ---
|
 |
|
 |
Anmeldedatum: ---
|
 |
|
 |
Wohnort: ---
|
 |
|
 |
Version: ---
|
 |
|
|
 |
|
Verfasst am: 01.11.2014, 18:58
Titel: Matlab ode45???
|
 |
Hallo zusammen,
ich soll im Rahmen meiner Studienarbeit Matlab zum lösen zweier DGL benutzen. Leider habe ich vorher noch nie mit Matlab gearbeitet und weiß deshalb nicht wie es gehen soll...
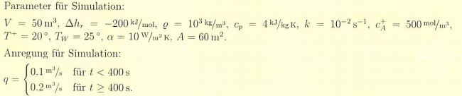
Ich habe mal beide DGL unten als Foto eingefügt, und die dazugehörigen Parameter aus als Foto hinzugefügt.
Bei der Simulation mit Excel hat alles geklappt....nur mit Matlab habe ich so einige Probleme....
V=50;
q=0,1;
ca0=500;
k=0,01;
[x,y]=ode45(@(x,y)(q/V)*(ca0-y)-k*y,[0,400],500)
so wollte ich anfangen aber damit gibts schon Probleme.....
Könnte mir jemand die dafür notwendigen Befehle schicken?
Vielen vielen Dank schonmal
| Beschreibung: |
|
 Download |
| Dateiname: |
Parameter.JPG |
| Dateigröße: |
19.3 KB |
| Heruntergeladen: |
401 mal |
| Beschreibung: |
|
 Download |
| Dateiname: |
Differentialgleichungen.JPG |
| Dateigröße: |
15.18 KB |
| Heruntergeladen: |
388 mal |
|
|
|
|
|
|
| Harald |

Forum-Meister
|
 |
Beiträge: 24.502
|
 |
|
 |
Anmeldedatum: 26.03.09
|
 |
|
 |
Wohnort: Nähe München
|
 |
|
 |
Version: ab 2017b
|
 |
|
|
 |
|
Verfasst am: 01.11.2014, 19:30
Titel:
|
 |
Hallo,
je genauer du beschreibst, worin das Problem besteht, desto leichter kann man dir helfen. Auf den ersten Blick: in MATLAB ist das Dezimaltrennzeichen Punkt, nicht Komma.
Grüße,
Harald
|
|
|
|
| Serious |
Gast
|
 |
Beiträge: ---
|
 |
|
 |
Anmeldedatum: ---
|
 |
|
 |
Wohnort: ---
|
 |
|
 |
Version: ---
|
 |
|
|
 |
|
Verfasst am: 03.11.2014, 00:58
Titel:
|
 |
Okay danke =)
also ich habe ja als bild die beiden DGL eingepostet.
Aufgabe ist es die beiden DGL numerisch zu lösen.
Also das zum beispiel die DGL mit der Konzentration, jeden Konzentration zu jeden Beliebigen Zeitpunkt angibt....
man lässt sich die erste Konzentration ausrechnen, anhand der ersten, wird dann die zweite ausgerechnet usw...
d.h. ca0 + ca*t= ca(neu) und des immer so weiter...
und dann halt die Temperatur in Abhängigkeit von der zeit mit der jeweils dazugehörigen Konzentration.
Hilft das als weitere Erklärung?
Gruß und Danke
|
|
|
|
| Harald |

Forum-Meister
|
 |
Beiträge: 24.502
|
 |
|
 |
Anmeldedatum: 26.03.09
|
 |
|
 |
Wohnort: Nähe München
|
 |
|
 |
Version: ab 2017b
|
 |
|
|
 |
|
Verfasst am: 03.11.2014, 20:42
Titel:
|
 |
Hallo,
dass du die DGL numerisch lösen willst, dachte ich mir.
Die Frage ist, welche konkreten Probleme du bei der Umsetzung hast.
Schau dir doch mal das 2. Beispiel in der Doku von ode45 an - das sind ja wie in deinem Fall zwei gekoppelte DGLen.
Grüße,
Harald
|
|
|
|
| Serious |
Gast
|
 |
Beiträge: ---
|
 |
|
 |
Anmeldedatum: ---
|
 |
|
 |
Wohnort: ---
|
 |
|
 |
Version: ---
|
 |
|
|
 |
|
Verfasst am: 04.11.2014, 11:01
Titel:
|
 |
Okay hab ich gemacht.
Des Problem ist, dass ich des schon nicht so richtig verstehe...
Also ich hab wirklich keine Ahnung von Matlab, deshalb weiß ich nicht, wie ich überhaupt sinnvoll anfange. Von daher wurde noch nichts umgesetzt
jetzt ist die frage, wie ich meine DGL umsetzen kann?
Bzw. Gibt es ein gutes Buch bzw. Artikel des mir die grundladen von matlab kurz und gut erklärt?
Gruß und Danke
Serious
|
|
|
|
| Nras |

Forum-Meister
|
 |
Beiträge: 608
|
 |
|
 |
Anmeldedatum: 21.02.12
|
 |
|
 |
Wohnort: ---
|
 |
|
 |
Version: 7.12.0.635 (R2011a)
|
 |
|
|
 |
|
Verfasst am: 04.11.2014, 12:27
Titel:
|
 |
Hallo
Cleve Moler, Chef himself, hat einige Dateien zur Verfügung gestellt, in denen er mathematische Probleme beschreibt und die Umsetzung mit Matlab erklärt: http://www.mathworks.de/moler/chapters.html
Speziell für odes: http://www.mathworks.de/moler/odes.pdf
Da solltest du vermtulich alles für finden, was du brauchst.
Ansonsten: Vermutlich wird dir hier keiner den Code für dein Beispiel komplett aufschreiben. Aber wenn du mit eigenem Code Beiträge schreibst und beschreibst, woran es gerade hakt, dann kann dir auch besser geholfen werden.
Viele Grüße,
Nras.
|
|
|
|
| Harald |

Forum-Meister
|
 |
Beiträge: 24.502
|
 |
|
 |
Anmeldedatum: 26.03.09
|
 |
|
 |
Wohnort: Nähe München
|
 |
|
 |
Version: ab 2017b
|
 |
|
|
 |
|
Verfasst am: 04.11.2014, 20:41
Titel:
|
 |
Hallo,
was genau verstehst du nicht?
Du brauchst an sich nur das Beispiel direkt auf dein Problem zu übertragen.
Grüße,
Harald
|
|
|
|
|
|
|
Einstellungen und Berechtigungen
|
|
Du kannst Beiträge in dieses Forum schreiben. Du kannst auf Beiträge in diesem Forum antworten. Du kannst deine Beiträge in diesem Forum nicht bearbeiten. Du kannst deine Beiträge in diesem Forum nicht löschen. Du kannst an Umfragen in diesem Forum nicht mitmachen. Du kannst Dateien in diesem Forum posten Du kannst Dateien in diesem Forum herunterladen
|
|
Impressum
| Nutzungsbedingungen
| Datenschutz
| FAQ
| RSS
Hosted by:
Copyright © 2007 - 2026
goMatlab.de | Dies ist keine offizielle Website der Firma The Mathworks
MATLAB, Simulink, Stateflow, Handle Graphics, Real-Time Workshop, SimBiology, SimHydraulics, SimEvents, and xPC TargetBox are registered trademarks and The MathWorks, the L-shaped membrane logo, and Embedded MATLAB are trademarks of The MathWorks, Inc.
|
|