|
|
|
mean - mean absolute deviation optimisierung |
|
| HarryMarkowitz |

Forum-Anfänger
|
 |
Beiträge: 12
|
 |
|
 |
Anmeldedatum: 04.08.13
|
 |
|
 |
Wohnort: Durham
|
 |
|
 |
Version: ---
|
 |
|
|
 |
|
Verfasst am: 04.08.2013, 18:31
Titel: mean - mean absolute deviation optimisierung
|
 |
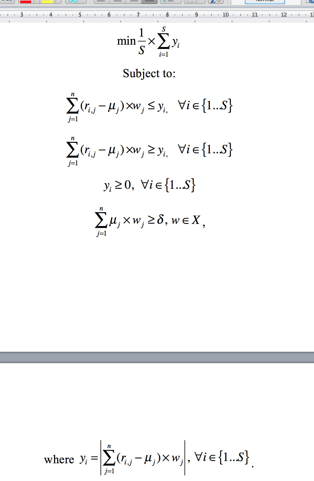
Hallo, das ist das erste mal - dass ich hier im Forum hilfe suche und ich würde gerne wissen was mich folgendes script kosten würde.
Linear Optimierung des problems in der angehängten graphik.
delta is der target return.
mir ist bewusst, dass es sich bei dem auftrag nur um eine for - schleife handelt um durch alle möglichen targetreturns zu loopen und die jeweiligen min opti Ergebnisse zu bekommen und das korrekte verwenden der linprog Funktion. ich schaffe es leider nicht.
Daher - was würde mich denn deine/ihre Hilfe bei diesem Problem kosten?
Liebe Grüße
Daniel
| Beschreibung: |
|
 Download |
| Dateiname: |
Screen Shot 2013-08-04 at 15.26.37.png |
| Dateigröße: |
108.97 KB |
| Heruntergeladen: |
1370 mal |
|
|
|
|
|
|
|
|
|
Einstellungen und Berechtigungen
|
|
Du kannst Beiträge in dieses Forum schreiben. Du kannst auf Beiträge in diesem Forum antworten. Du kannst deine Beiträge in diesem Forum nicht bearbeiten. Du kannst deine Beiträge in diesem Forum nicht löschen. Du kannst an Umfragen in diesem Forum nicht mitmachen. Du kannst Dateien in diesem Forum posten Du kannst Dateien in diesem Forum herunterladen
|
|
Impressum
| Nutzungsbedingungen
| Datenschutz
| FAQ
| RSS
Hosted by:
Copyright © 2007 - 2026
goMatlab.de | Dies ist keine offizielle Website der Firma The Mathworks
MATLAB, Simulink, Stateflow, Handle Graphics, Real-Time Workshop, SimBiology, SimHydraulics, SimEvents, and xPC TargetBox are registered trademarks and The MathWorks, the L-shaped membrane logo, and Embedded MATLAB are trademarks of The MathWorks, Inc.
|
|