|
|
| Snakker |

Forum-Newbie
|
 |
Beiträge: 1
|
 |
|
 |
Anmeldedatum: 11.11.14
|
 |
|
 |
Wohnort: ---
|
 |
|
 |
Version: ---
|
 |
|
|
 |
|
Verfasst am: 11.11.2014, 17:27
Titel: Mitteln mehrerer Kurven
|
 |
Hallo Zusammen
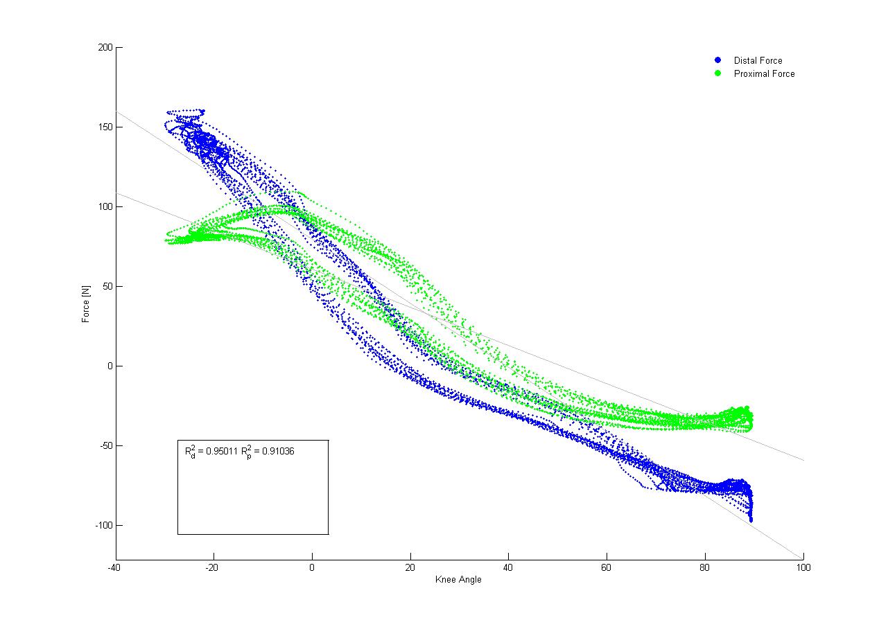
Ich arbeite momentan an einem Exoskelet für die Beine und muss Daten aus den Gelenkssensoren auslen und aufarbeiten.
Ich stehe nun vor folgendem Problem: Wir haben Messungen gemacht wo wir die selbe Kniebewegung ca. 15x wiederholt haben. Da die Bewegung nicht jedes Mal gleich ist gibt es bei jedem Durchgang eine etwas andere Kurve. Mein Ansatz war für jeden Gelenkswinkel die dazugehörenden Werte zu mitteln. Das hat jedoch nicht funktioniert, da die Aufnahmefrequenz (100Hz) dafür zuhoch war. Es gab einfach zuviele verschiedene Winkel.
Gibt es eine andere Möglichkeit die vielen Kurven auf eine zu reduzieren?
Ich habe unten noch ein Bild vom Plot angehängt zur Veranschaulichung.
Danke schon im Voraus!
Snakker
| Beschreibung: |
| So sehen die überlagerten Kurven aus. |
|
 Download |
| Dateiname: |
KraftUeberWinkel.jpg |
| Dateigröße: |
89.51 KB |
| Heruntergeladen: |
382 mal |
|
|
|
|
|
|
| Yvonne |

Forum-Anfänger
|
 |
Beiträge: 16
|
 |
|
 |
Anmeldedatum: 31.07.14
|
 |
|
 |
Wohnort: ---
|
 |
|
 |
Version: R2014b
|
 |
|
|
 |
|
Verfasst am: 12.11.2014, 17:26
Titel:
|
 |
Hallo,
warum genau hat es nicht geklappt die Kurven zu mitteln?
(Mir ist nicht ganz klar, was das mit der sampling frequency zu tun hat.)
Hast Du evtl. einen (kleinen) Beispieldatensatz?
LG, Yvonne
|
|
|
|
|
|
|
Einstellungen und Berechtigungen
|
|
Du kannst Beiträge in dieses Forum schreiben. Du kannst auf Beiträge in diesem Forum antworten. Du kannst deine Beiträge in diesem Forum nicht bearbeiten. Du kannst deine Beiträge in diesem Forum nicht löschen. Du kannst an Umfragen in diesem Forum nicht mitmachen. Du kannst Dateien in diesem Forum posten Du kannst Dateien in diesem Forum herunterladen
|
|
Impressum
| Nutzungsbedingungen
| Datenschutz
| FAQ
| RSS
Hosted by:
Copyright © 2007 - 2026
goMatlab.de | Dies ist keine offizielle Website der Firma The Mathworks
MATLAB, Simulink, Stateflow, Handle Graphics, Real-Time Workshop, SimBiology, SimHydraulics, SimEvents, and xPC TargetBox are registered trademarks and The MathWorks, the L-shaped membrane logo, and Embedded MATLAB are trademarks of The MathWorks, Inc.
|
|