|
|
|
Nichtlineares Gleichungssytem: 6 Gleichungen, 6 Unbekannte |
|
| salkiewi |

Forum-Newbie
|
 |
Beiträge: 3
|
 |
|
 |
Anmeldedatum: 13.02.15
|
 |
|
 |
Wohnort: ---
|
 |
|
 |
Version: ---
|
 |
|
|
 |
|
Verfasst am: 13.02.2015, 14:40
Titel: Nichtlineares Gleichungssytem: 6 Gleichungen, 6 Unbekannte
|
 |
Hi,
ich versuche gerade mit Hilfe Matlabs ein nichtlineares Gleichungssystem zu lösen.
Ich bin super unerfahren mit Matlab, habe es aber geschafft nach langem Suchen und Recherchieren einen Code aufzustellen, jedoch funktioniert das ganze nicht
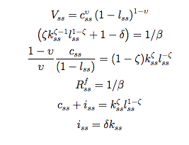
Ich würde gerne eine numerische Lösung für die Variablen x(1)-x(6) haben.
Eig würde ich das Gleichungssystem auch lieber so aufstellen, dass ich nicht x(.) drin habe, sondern die 'richtigen' Variablenbezeichnungen, zB c_ss etc.
Wäre super, wenn mir hier jemand helfen könnte
Das Gleichungssytems sowie die mod.file habe ich angehängt.
Danke schon einmal im Voraus!
| Beschreibung: |
|
 Download |
| Dateiname: |
SteadyState.m |
| Dateigröße: |
667 Bytes |
| Heruntergeladen: |
326 mal |
| Beschreibung: |
|
 Download |
| Dateiname: |
Steady.png |
| Dateigröße: |
18.93 KB |
| Heruntergeladen: |
300 mal |
|
|
|
|
|
|
| Martin91 |
Gast
|
 |
Beiträge: ---
|
 |
|
 |
Anmeldedatum: ---
|
 |
|
 |
Wohnort: ---
|
 |
|
 |
Version: ---
|
 |
|
|
 |
|
Verfasst am: 13.02.2015, 18:15
Titel:
|
 |
Hallo,
hab gerade kein Matlab hier und es gibt hier sicherLeute, die sich besser mit Matlab auskennen, aber was mir vom Formalen her auffällt.
Erstmal schreibst du ja
Ob das so sinnvoll ist weiß ich nicht. Wenn du eine Funktion schreiben möchtest dann sieht der Anfang so aus
Die Skript Datei mit der Funktion darin muss dann wie die Funktion heißen, also in deinem Fall SteadyState.m
Also pro function ein Skript.
Die 2. Funktion:
würde ich dann in eine eigene Skriptdatei speichern, die "eqn.m" heißt. Dann kannst du mit dem
darauf zugreifen. Hier hat aber eqn keine Argumente x. Das geht so glaub ich auch nicht. und ob man
schreiben muss weiß ich auch nicht aus dem Kopf.
|
|
|
|
| salkiewi |
Themenstarter

Forum-Newbie
|
 |
Beiträge: 3
|
 |
|
 |
Anmeldedatum: 13.02.15
|
 |
|
 |
Wohnort: ---
|
 |
|
 |
Version: ---
|
 |
|
|
 |
|
Verfasst am: 13.02.2015, 18:59
Titel:
|
 |
Danke schon mal für deine Antwort
Ich habe mein m.file nach einem anderen nachgebaut. Der hat das genauso gemacht. Deswegen ist die Struktur, wie sie ist.
Sein File funktionierte auch bei mir; mein System jedoch nicht -.-
|
|
|
|
| frankw |

Forum-Anfänger
|
 |
Beiträge: 23
|
 |
|
 |
Anmeldedatum: 22.09.09
|
 |
|
 |
Wohnort: ---
|
 |
|
 |
Version: ---
|
 |
|
|
 |
|
Verfasst am: 13.02.2015, 19:40
Titel:
|
 |
... nur mal zur Info, wenn bei der Fehlermeldung steht "... Objective function is returning undefined values at initial point. FSOLVE cannot continue. ..." dann sollte man sich mal die Startwerte anschauen.
Bei nächsten mal am Besten die Fehlermeldung gleich mit Posten, dann kann man gezielter auf die Fragen antworten.
|
|
|
|
| salkiewi |
Themenstarter

Forum-Newbie
|
 |
Beiträge: 3
|
 |
|
 |
Anmeldedatum: 13.02.15
|
 |
|
 |
Wohnort: ---
|
 |
|
 |
Version: ---
|
 |
|
|
 |
|
Verfasst am: 13.02.2015, 19:54
Titel:
|
 |
Ja, das steht da.
Ich habe die Startwerte so gewählt, weil die letztlichen Modellösungen bei 0.9128 (=y) oder 0.1873 (=Rf) und etc liegen. Dachte, dann wäre das der Beste guess bei den gewählten Anfangswerten.
Was genua besagt, die Fehlermeldung denn?
Und: Danke für die Antwort.
Ps.: Ja, werde ich tun...sorry.
|
|
|
|
| frankw |

Forum-Anfänger
|
 |
Beiträge: 23
|
 |
|
 |
Anmeldedatum: 22.09.09
|
 |
|
 |
Wohnort: ---
|
 |
|
 |
Version: ---
|
 |
|
|
 |
|
Verfasst am: 13.02.2015, 20:06
Titel:
|
 |
Da steht frei übersetzt : "...Die Zielfunktion gibt undefinierte Werte mit Startwerten zurück. Fsolve kann nicht fortgesetzt werden."
Wenn du jetzt mal deine Startwerte in die Gleichung einsetzt, wirst du sehen das bei der 3. Gleichung ein unendlich raus kommt (Division durch 0).
|
|
|
|
|
|
|
Einstellungen und Berechtigungen
|
|
Du kannst Beiträge in dieses Forum schreiben. Du kannst auf Beiträge in diesem Forum antworten. Du kannst deine Beiträge in diesem Forum nicht bearbeiten. Du kannst deine Beiträge in diesem Forum nicht löschen. Du kannst an Umfragen in diesem Forum nicht mitmachen. Du kannst Dateien in diesem Forum posten Du kannst Dateien in diesem Forum herunterladen
|
|
Impressum
| Nutzungsbedingungen
| Datenschutz
| FAQ
| RSS
Hosted by:
Copyright © 2007 - 2026
goMatlab.de | Dies ist keine offizielle Website der Firma The Mathworks
MATLAB, Simulink, Stateflow, Handle Graphics, Real-Time Workshop, SimBiology, SimHydraulics, SimEvents, and xPC TargetBox are registered trademarks and The MathWorks, the L-shaped membrane logo, and Embedded MATLAB are trademarks of The MathWorks, Inc.
|
|