WICHTIG: Der Betrieb von goMatlab.de wird privat finanziert fortgesetzt. - Mehr Infos...

Mein MATLAB Forum - goMatlab.de

Mein MATLAB Forum

 
Gast > Registrieren       Autologin?   

Partner:




Forum
      Option
[Erweitert]
  • Diese Seite per Mail weiterempfehlen
     


Gehe zu:  
Neues Thema eröffnen Neue Antwort erstellen

Numerische Integration mittels 'quad' - Fehlertoleranz

 

Iamus

Gast


Beiträge: ---
Anmeldedatum: ---
Wohnort: ---
Version: ---
     Beitrag Verfasst am: 03.01.2013, 12:15     Titel: Numerische Integration mittels 'quad' - Fehlertoleranz
  Antworten mit Zitat      
Hallo zusammen,

ich habe folgendes Problem:
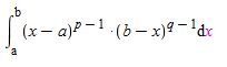
Ich möchte das folgende Integral berechnen (siehe Anhang bzw. Code).

Code:

function out = beta_value(a, b, p, q)
    beta_density = inline('((x-a).^(p-1)).*(b-x).^(q-1)','x','a','b','p','q');
   out = quad(@(x) beta_density (x,a,b,p,q), a,b);
end
 


Bei der Berechnung (z.B. mit a=0, b=10, p=5, q=30) via 'quad' erhalte ich die Fehlermeldung "Warning: Maximum function count exceeded; singularity likely."

Ich habe mir die Dokumentation in Matlab angesehen und gelesen, dass man den Fehler mithilfe der Erhöhung der Fehlertoleranz beheben kann (führt dann zu einem schlechteren Ergebnis). Alternativ kann man die Warnung auch ignorieren, einen Wert berechnet mir Matlab trotzdem.

Zu meinen Fragen:

1) Die Verwendung von quad ist in diesem Fall generell korrekt oder (es gibt ja auch 'integral' oder weitere quad-Befehle).

2) Lässt sich der Fehler irgendwie beheben oder muss ich das "hinnehmen"? Selbst wenn ich die Fehlertolernanz relativ hoch einstelle, erhalte ich die Warnmeldung erneut. Außerdem kann ich die benötigte Fehlertoleranz, um keine Warnmeldung zu erhalten, ex-ante schlecht einschätzen.

Hat hier jmd. einen Rat, ich wäre dankbar!

integral.JPG
 Beschreibung:

Download
 Dateiname:  integral.JPG
 Dateigröße:  9.45 KB
 Heruntergeladen:  518 mal


Harald
Forum-Meister

Forum-Meister


Beiträge: 24.502
Anmeldedatum: 26.03.09
Wohnort: Nähe München
Version: ab 2017b
     Beitrag Verfasst am: 03.01.2013, 12:53     Titel:
  Antworten mit Zitat      
Hallo,

ich würde integral verwenden. Diese Funktion ist neuer und damit vermutlich auch besser. Jedenfalls gibt es dann zumindest bei deinem Beispiel keine Warnung mehr.

Statt inline würde ich Function Handles verwenden. Das ist aber nur kosmetisch.

Grüße,
Harald
Private Nachricht senden Benutzer-Profile anzeigen
 
Iamus
Forum-Newbie

Forum-Newbie


Beiträge: 7
Anmeldedatum: 04.01.13
Wohnort: ---
Version: ---
     Beitrag Verfasst am: 06.01.2013, 15:52     Titel:
  Antworten mit Zitat      
Danke Harald,

das funktioniert vorerst.
Private Nachricht senden Benutzer-Profile anzeigen
 
Neues Thema eröffnen Neue Antwort erstellen



Einstellungen und Berechtigungen
Beiträge der letzten Zeit anzeigen:

Du kannst Beiträge in dieses Forum schreiben.
Du kannst auf Beiträge in diesem Forum antworten.
Du kannst deine Beiträge in diesem Forum nicht bearbeiten.
Du kannst deine Beiträge in diesem Forum nicht löschen.
Du kannst an Umfragen in diesem Forum nicht mitmachen.
Du kannst Dateien in diesem Forum posten
Du kannst Dateien in diesem Forum herunterladen
.





 Impressum  | Nutzungsbedingungen  | Datenschutz | FAQ | goMatlab RSS Button RSS

Hosted by:


Copyright © 2007 - 2026 goMatlab.de | Dies ist keine offizielle Website der Firma The Mathworks

MATLAB, Simulink, Stateflow, Handle Graphics, Real-Time Workshop, SimBiology, SimHydraulics, SimEvents, and xPC TargetBox are registered trademarks and The MathWorks, the L-shaped membrane logo, and Embedded MATLAB are trademarks of The MathWorks, Inc.