|
|
|
Optimization TB: Anpassung durch ein Integral |
|
| Coja |

Forum-Century
|
 |
Beiträge: 166
|
 |
|
 |
Anmeldedatum: 20.06.09
|
 |
|
 |
Wohnort: ---
|
 |
|
 |
Version: ---
|
 |
|
|
 |
|
Verfasst am: 26.06.2009, 12:20
Titel: Optimization TB: Anpassung durch ein Integral
|
 |
Hallo.
ich habe folgendes Problem. Ich würde meine Daten gerne duch eine Funktion approximieren und die Parameter daraus bestimmten lassen. In der vorgegebenen Funktion ist aber ein Integral. Wie kann ich die Parameter dennoch bestimmen lassen?
In der Anlage befinden sich zwei kleine Dateien.
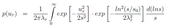
s0 und lambda sollen optimal bestimmt werden. U ist der jeweilige Wert der x-Achse.
| Beschreibung: |
| Formel der Funktion, wobei s0 und lambda bestimmt werden sollen |
|
 Download |
| Dateiname: |
anzupassende Funktion.JPG |
| Dateigröße: |
8.14 KB |
| Heruntergeladen: |
982 mal |
| Beschreibung: |
| Daten für die die Anpassung erfolgen soll |
|
 Download |
| Dateiname: |
Daten für Ca.rar |
| Dateigröße: |
1.47 KB |
| Heruntergeladen: |
871 mal |
|
|
|
|
|
|
|
|
|
Einstellungen und Berechtigungen
|
|
Du kannst Beiträge in dieses Forum schreiben. Du kannst auf Beiträge in diesem Forum antworten. Du kannst deine Beiträge in diesem Forum nicht bearbeiten. Du kannst deine Beiträge in diesem Forum nicht löschen. Du kannst an Umfragen in diesem Forum nicht mitmachen. Du kannst Dateien in diesem Forum posten Du kannst Dateien in diesem Forum herunterladen
|
|
Impressum
| Nutzungsbedingungen
| Datenschutz
| FAQ
| RSS
Hosted by:
Copyright © 2007 - 2026
goMatlab.de | Dies ist keine offizielle Website der Firma The Mathworks
MATLAB, Simulink, Stateflow, Handle Graphics, Real-Time Workshop, SimBiology, SimHydraulics, SimEvents, and xPC TargetBox are registered trademarks and The MathWorks, the L-shaped membrane logo, and Embedded MATLAB are trademarks of The MathWorks, Inc.
|
|