WICHTIG: Der Betrieb von goMatlab.de wird privat finanziert fortgesetzt. - Mehr Infos...

Mein MATLAB Forum - goMatlab.de

Mein MATLAB Forum

 
Gast > Registrieren       Autologin?   

Partner:




Forum
      Option
[Erweitert]
  • Diese Seite per Mail weiterempfehlen
     


Gehe zu:  
Neues Thema eröffnen Neue Antwort erstellen

PDE mit Anfangswert- & Randbedingung lösen

 

KicK32
Forum-Newbie

Forum-Newbie


Beiträge: 2
Anmeldedatum: 21.08.13
Wohnort: ---
Version: ---
     Beitrag Verfasst am: 21.08.2013, 13:19     Titel: PDE mit Anfangswert- & Randbedingung lösen
  Antworten mit Zitat      
Hallo Community!

Ich habe hier eine Aufgabe, die es gilt zu lösen. Ich hoffe, ihr versteht mehr von PDE-Systeme lösen als ich und könnt mir helfen!

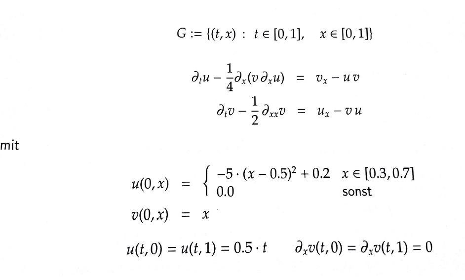
Geg.: PDE, Anfangsbed. & Randbed. (siehe angefügtes Bild - 'PDE-Aufg')

Meine Fragen: Ist pdefun richtig definiert? Ist icfun richtig defniert? Ist bdfun richtig definiert? Wie geht man grundsätzlich bei der Definition der Randbedingungen in Matlab vor? An der Stelle hackts bei mir gewaltig. Vielleicht kann das jmd versuchen zu erklären.



Code:
clc, clear all, close all

function solvepde

x = linspace(0,1,30);
t = linspace(0,1,20);

m = 0;
[u] = pdepe(m,@pdefun,@icfun,bcfun,x,t);

figure(1)
surf(x,t,u(:,:,1));

figure(2)
surf(x,t,u(:,:,2));

end

function [c,f,s] = pdefun(x,t,u,dudx) %PDE System
c = [1;1];
f = [0.25*u(2).*dudx(1);0.5.*dudx(2)];
s = [dudx(2)-u(1)*u(2);-dudx(1)-u(1)*u(2)]; %hier bin ich mir nicht sicher, wie aus der PDE die Fkt s definiert werden kann, stimmt das so?

end

function [u0] = icfun(x) %Anfangsbed.

if((x>=0.3) && (x<=0.7))
u0 = [-5*(x-0.5).^2+0.2;x];
else u0 = [0;x];
end

end

function [pl, ql, pr, qr] = bcfun(xl, ul, xr, ur, t) %Randbed.

pl = [0;0];
ql = [0.5.*t;0.5.*t];
pr = [0;0];
qr = [0.5.*t;0.5.*t];

end
 



Vielen Dank schon mal für eure Hilfe!!

MfG

PDE-Aufg.jpg
 Beschreibung:

Download
 Dateiname:  PDE-Aufg.jpg
 Dateigröße:  52.49 KB
 Heruntergeladen:  1150 mal
Private Nachricht senden Benutzer-Profile anzeigen


Neues Thema eröffnen Neue Antwort erstellen



Einstellungen und Berechtigungen
Beiträge der letzten Zeit anzeigen:

Du kannst Beiträge in dieses Forum schreiben.
Du kannst auf Beiträge in diesem Forum antworten.
Du kannst deine Beiträge in diesem Forum nicht bearbeiten.
Du kannst deine Beiträge in diesem Forum nicht löschen.
Du kannst an Umfragen in diesem Forum nicht mitmachen.
Du kannst Dateien in diesem Forum posten
Du kannst Dateien in diesem Forum herunterladen
.





 Impressum  | Nutzungsbedingungen  | Datenschutz | FAQ | goMatlab RSS Button RSS

Hosted by:


Copyright © 2007 - 2026 goMatlab.de | Dies ist keine offizielle Website der Firma The Mathworks

MATLAB, Simulink, Stateflow, Handle Graphics, Real-Time Workshop, SimBiology, SimHydraulics, SimEvents, and xPC TargetBox are registered trademarks and The MathWorks, the L-shaped membrane logo, and Embedded MATLAB are trademarks of The MathWorks, Inc.