|
|
| an |
Gast
|
 |
Beiträge: ---
|
 |
|
 |
Anmeldedatum: ---
|
 |
|
 |
Wohnort: ---
|
 |
|
 |
Version: ---
|
 |
|
|
 |
|
Verfasst am: 19.07.2011, 13:59
Titel: PID diskret in Simulink
|
 |
| |
 |
|
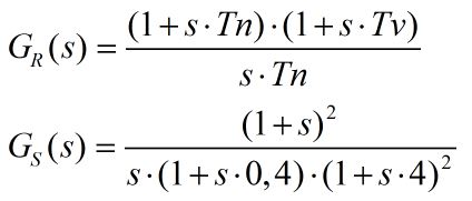
Hallo, vielleicht kann mir hier jemand helfen. Ich möchte gerne in Simulink einen PID Regler diskret aufbauen, d.h. die einzelnen Übertragungsfunktionen mathematisch aneinanderreihen anstatt mit dem fertigen PID Regler von Simulink zu arbeiten.
Leider finde ich nirgends eine rein differenzierernde Übertragungsfunktion. Mir ist natürlich klar, dass es das real nicht geben kann, da die Zählerordnung hier größer ist als die Nennerordnung.
Ich möchte aber Übungsaufgaben nachstellen, wo zum ersten die Zeitkonstanten des PID Regelers die der Strecke kompensieren und zum zweiten Regelstrecken mit reinen Differenzierern vorhanden sind.
Ich habe mal ein Bild mit den Funktionen angehangen und genauso möchte ich dies in Simulink aufbauen und Tn bzw. Tv so einststellen, dass sie die grössten Zeitkonstanten der Strecke kompensieren.
Vielen Dank schon einmal im Vorhinein!!
| Beschreibung: |
|
 Download |
| Dateiname: |
Unbenannt.JPG |
| Dateigröße: |
19.09 KB |
| Heruntergeladen: |
1594 mal |
|
|
|
|
|
|
| Georg J |

Forum-Century
|
 |
Beiträge: 113
|
 |
|
 |
Anmeldedatum: 22.06.11
|
 |
|
 |
Wohnort: ---
|
 |
|
 |
Version: R2008a
|
 |
|
|
 |
|
Verfasst am: 19.07.2011, 21:21
Titel:
|
 |
Hi,
Dein Beispiel ist keine diskrete, sondern eine kontinuierliche Funktion im Laplace-Bereich.
Es gibt in Simulink unter Continuous den Block "Transfer Fcn". Hier kannst du den Zähler und den Nenner einer Übertragungsfunktion im La-Place Bereich eingeben. Damit kannst du also dein System beschreiben.
Wenn du verschiedene Übertragungsfuntktionen mit einander multiplizieren willst, kannst du die Blöcke einfach miteinander verbinden, wie z.B. den Ausgang des Reglers mit dem Eingang des Systems.
Wenn du das ganze tatsächlich diskret machen willst, funktioniert es genauso. Es gibt unter Discrete den Block "Discrete Transfer Fcn". Nur musst du dann dein System halt vorher nach Z transformieren. Siehe auch
Gruss, Georg
|
|
|
|
| Gast |
|
 |
Beiträge: ---
|
 |
|
 |
Anmeldedatum: ---
|
 |
|
 |
Wohnort: ---
|
 |
|
 |
Version: ---
|
 |
|
|
 |
|
Verfasst am: 19.07.2011, 23:03
Titel:
|
 |
Hallo. Erst einmal vielen Dank für die Antwort. Mit den Transferfunktionen arbeite ich auch schon eine ganze Weile. Das Problem besteht darin, beispielsweise eine Regelstrecke mit höherer Zählerordnung als Nennerordnung zu simulieren.(z.B.: ((1+s)/1)). Simuling fordert immer ein s im Nenner.
Viele Grüße
| Beschreibung: |
|
 Download |
| Dateiname: |
hhh.JPG |
| Dateigröße: |
61.42 KB |
| Heruntergeladen: |
1605 mal |
|
|
|
|
| Georg J |

Forum-Century
|
 |
Beiträge: 113
|
 |
|
 |
Anmeldedatum: 22.06.11
|
 |
|
 |
Wohnort: ---
|
 |
|
 |
Version: R2008a
|
 |
|
|
 |
|
Verfasst am: 20.07.2011, 00:11
Titel:
|
 |
Du kannst du den PID-Regler auch aus einzelnen Blöcken aufbauen (siehe Anhang). Ein Transfer Fcn Block ist dafür nicht zwingend notwendig.
Dein PI-Glied ist schliesslich nichts anderes als
1 + 1/730*1/s
und damit als Summe aus P und I darstellbar.
Gruss, Georg
| Beschreibung: |
| Beispiel System mit PID-Regler |
|
 Download |
| Dateiname: |
PID_Control.mdl |
| Dateigröße: |
25.05 KB |
| Heruntergeladen: |
1314 mal |
|
|
|
|
| Gast |
|
 |
Beiträge: ---
|
 |
|
 |
Anmeldedatum: ---
|
 |
|
 |
Wohnort: ---
|
 |
|
 |
Version: ---
|
 |
|
|
 |
|
Verfasst am: 20.07.2011, 18:54
Titel:
|
 |
|
Aha, gut. Dann werde ich das so machen. Vielen Dank!!
|
|
|
|
|
|
|
Einstellungen und Berechtigungen
|
|
Du kannst Beiträge in dieses Forum schreiben. Du kannst auf Beiträge in diesem Forum antworten. Du kannst deine Beiträge in diesem Forum nicht bearbeiten. Du kannst deine Beiträge in diesem Forum nicht löschen. Du kannst an Umfragen in diesem Forum nicht mitmachen. Du kannst Dateien in diesem Forum posten Du kannst Dateien in diesem Forum herunterladen
|
|
Impressum
| Nutzungsbedingungen
| Datenschutz
| FAQ
| RSS
Hosted by:
Copyright © 2007 - 2026
goMatlab.de | Dies ist keine offizielle Website der Firma The Mathworks
MATLAB, Simulink, Stateflow, Handle Graphics, Real-Time Workshop, SimBiology, SimHydraulics, SimEvents, and xPC TargetBox are registered trademarks and The MathWorks, the L-shaped membrane logo, and Embedded MATLAB are trademarks of The MathWorks, Inc.
|
|