|
|
|
Plotten einer Funktion & Messwerten in einen Graph |
|
| FraukePetry |

Forum-Anfänger
|
 |
Beiträge: 10
|
 |
|
 |
Anmeldedatum: 10.06.16
|
 |
|
 |
Wohnort: ---
|
 |
|
 |
Version: ---
|
 |
|
|
 |
|
Verfasst am: 10.06.2016, 15:50
Titel: Plotten einer Funktion & Messwerten in einen Graph
|
 |
| |
 |
|
Hallo zusammen,
ich bin neu im Forum und brauch Hilfe beim Plotten einer Funktion und dazugehörigen Messwerten aus einem Versuch.
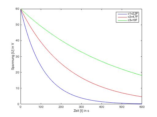
c1= 2.2
c2= 4.7
c3= 10
U= 60
t= [0:10:600]
Uc1= U*exp(-t/(50*c1))
plot(t,Uc1,'b')
hold
Uc2= U*exp(-t/(50*c2))
plot(t,Uc2,'r')
Uc3= U*exp(-t/(50*c3))
plot(t,Uc3,'g')
xlabel('Zeit [t] in s')
ylabel('Spannung [U] in V')
legend ('c1=2,2F','c2=4,7F','c3=10F')
Liefert mir den Grafen der Funktion. Zusätzlich möchte ich Messwerte aus dem Versuch mit angeben. Dafür ist mein Ansatz folgender.
x1=[0 5 11 19 31 50 69];
y1=[60 50 40 30 20 10 5];
scatter(x1,y1);
hold on;
x2=[0 9 21 34 55 90 121];
y2=[60 50 40 30 20 10 5];
scatter(x2,y2)
hold on;
x3=[0 16 41 72 115 193 273];
y3=[60 50 40 30 20 10 5];
scatter (x3,y3);
hold on;
Hat jemand eine Idee wie ich beide Ansätze sinnvoll in einen Graf bekomme? Wäre schön wenn die Messreihen jeweils durch eine Linie verbunden wären.
schon mal vielen Dank für eure Hilfe
| Beschreibung: |
|
 Download |
| Dateiname: |
Messwerte.jpg |
| Dateigröße: |
7.86 KB |
| Heruntergeladen: |
721 mal |
| Beschreibung: |
|
 Download |
| Dateiname: |
ET UC(t).jpg |
| Dateigröße: |
16.6 KB |
| Heruntergeladen: |
691 mal |
|
|
|
|
|
|
| FraukePetry |
Themenstarter

Forum-Anfänger
|
 |
Beiträge: 10
|
 |
|
 |
Anmeldedatum: 10.06.16
|
 |
|
 |
Wohnort: ---
|
 |
|
 |
Version: ---
|
 |
|
|
 |
|
Verfasst am: 12.06.2016, 13:14
Titel:
|
 |
Ich habe es hin bekommen.
für alle die es Interessiert
c1= 2.2
c2= 4.7
c3= 10
U= 60
t= [0:10:600]
Uc1= U*exp(-t/(10*c1))
plot(t,Uc1,'b')
hold on;
x1=[0 5 11 19 31 50 69];
y1=[60 50 40 30 20 10 5];
scatter(x1,y1,'bx');
hold on;
Uc2= U*exp(-t/(10*c2))
plot(t,Uc2,'r')
hold on;
x2=[0 9 21 34 55 90 121];
y2=[60 50 40 30 20 10 5];
scatter(x2,y2,'rx')
hold on;
Uc3= U*exp(-t/(10*c3))
plot(t,Uc3,'g')
hold on;
x3=[0 16 41 72 115 193 273];
y3=[60 50 40 30 20 10 5];
scatter (x3,y3,'gx');
hold on;
|
|
|
|
|
|
|
Einstellungen und Berechtigungen
|
|
Du kannst Beiträge in dieses Forum schreiben. Du kannst auf Beiträge in diesem Forum antworten. Du kannst deine Beiträge in diesem Forum nicht bearbeiten. Du kannst deine Beiträge in diesem Forum nicht löschen. Du kannst an Umfragen in diesem Forum nicht mitmachen. Du kannst Dateien in diesem Forum posten Du kannst Dateien in diesem Forum herunterladen
|
|
Impressum
| Nutzungsbedingungen
| Datenschutz
| FAQ
| RSS
Hosted by:
Copyright © 2007 - 2026
goMatlab.de | Dies ist keine offizielle Website der Firma The Mathworks
MATLAB, Simulink, Stateflow, Handle Graphics, Real-Time Workshop, SimBiology, SimHydraulics, SimEvents, and xPC TargetBox are registered trademarks and The MathWorks, the L-shaped membrane logo, and Embedded MATLAB are trademarks of The MathWorks, Inc.
|
|