|
|
|
Probleme bei Wippe mit Krafteinleitung |
|
| UniKa |
Gast
|
 |
Beiträge: ---
|
 |
|
 |
Anmeldedatum: ---
|
 |
|
 |
Wohnort: ---
|
 |
|
 |
Version: ---
|
 |
|
|
 |
|
Verfasst am: 02.04.2008, 10:02
Titel: Probleme bei Wippe mit Krafteinleitung
|
 |
Hallo zusammen
ich bin ein absoluter Neuling auf dem Gebiet von Simulink, relativ einfache Aufgaben habe ich schon in Übungen gelöst, nun aber hab ich ein knackiges Problem, das ich spontan in 2 Wochen lösen soll.
Hier die Aufgabe:
Ich habe eine Wippe: auf der einen Seite befindet sich eine Last, deren Lage man bis zur Mitte hin verschieben kann.
Auf der anderen Seite ist ein Wassertank (von mir vereinfacht mal eine Kraft) die mit einer bestimmten Geschwindigkeit zu/bzw abnimmt in Abhängigkeit des Winkels der Wippe, so dass alles in der Waagerechten ist.
D.h. ich muss den Winkel, den ich messen kann in eine Kraft umwandeln, die allerdings nur in einer bestimmten Geschwindikeit ab, bzw zunehmen kann.
Könnte hier mir jemand helfen, wie die Regelung auszusehen hat? Ich hab schon ein paar Versuche ohne sichtbaren Erfolg probiert.
|
|
|
|
|
|
| racer79 |

Forum-Newbie
|
 |
Beiträge: 4
|
 |
|
 |
Anmeldedatum: 31.03.08
|
 |
|
 |
Wohnort: ---
|
 |
|
 |
Version: ---
|
 |
|
|
 |
|
Verfasst am: 03.04.2008, 13:27
Titel:
|
 |
Zuerst muss ich das Modell richtig verstehen.
Bleibt die Last immer am gleichen Ort?
Wippe mit links Last und rechts Wassertank. Ziel ist es waagrecht zu bleiben. Ich kann den Inhalt vom Wassertank veraendern.
Ist das richtig so?
|
|
|
|
| student |

Forum-Anfänger
|
 |
Beiträge: 25
|
 |
|
 |
Anmeldedatum: 10.03.08
|
 |
|
 |
Wohnort: ---
|
 |
|
 |
Version: 7.0
|
 |
|
|
 |
|
Verfasst am: 03.04.2008, 16:03
Titel:
|
 |
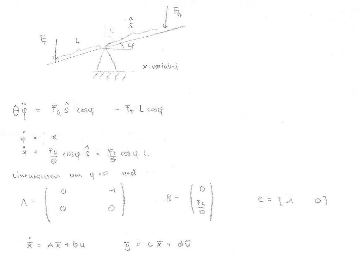
Hallo,
mach doch Schema x:
Gleichungen aufstellen
(evt normieren)
Linearisieren
^^siehe Anhang
dann TF bestimmen
^^ ist ein 2nd order system...
Dann regler auslegen.
Ich würde PI oder (PID) vorschlagen.
zur bestimmung der parameter fürs ester Ziegler/Nichols benützen
| Zitat: |
kp=0.45kp_krit
Ti=0.85T_krit
Td=0 |
Hoffe das hilft dir
Viele Grüsse
Student
| Beschreibung: |
|
 Download |
| Dateiname: |
wippe.jpg |
| Dateigröße: |
56.98 KB |
| Heruntergeladen: |
1427 mal |
|
|
|
|
| UniKa |
Gast
|
 |
Beiträge: ---
|
 |
|
 |
Anmeldedatum: ---
|
 |
|
 |
Wohnort: ---
|
 |
|
 |
Version: ---
|
 |
|
|
 |
|
Verfasst am: 04.04.2008, 10:00
Titel: erstmal Danke
|
 |
| |
 |
|
Hallo Zusammen, erstmal Danke für euer Interesse an dem Probl:
hallo racer 79:
Die Last bleibt auf der rechten Seite. Der Wassertank ist links. Die Masse des Wassertanks kann ich ändern.
Zur Last nochmal:
Die Last ist auf der rechten Seite beweglich. Von ganz außen bis zur Mitte.
@student
so ad hoc kann ich deine Zeilen noch nicht nachvollziehen, aber werde mich versuchen mal hineinzudenken. Wie gesagt ich beschäftige mich noch nciht lange mit der Software und Regelungstechnik ;o) Also bitte etwas nachsicht.
Für weitere Hilfen bin ich sehr dankbar !!!
Wer interesse hat:
Das Problem ist eigentl noch etwas komplizierter.
Das ganze ist ein 3D Problem eigentl:
Ich habe eine Last die ihren Schwerpkt nicht auf der Mittelachse hat sondern abseits davon, also benötige ich eigentl nicht nur einen Tank, sondern zwei auf der anderen Seite.
So dass ich Kippen in X- und Y-Richtung verhindern kann.
Aber das is schon fortgeschritten denke ich....
Bin auf weitere Antworten gespannt... ich denk mich mal so lang ein bißchen weiter in das Probl solange.
Wer will, dem kann ich auch mal eine Skizze schicken.
Herzlichen Gruß
|
|
|
|
| UniKa |
Gast
|
 |
Beiträge: ---
|
 |
|
 |
Anmeldedatum: ---
|
 |
|
 |
Wohnort: ---
|
 |
|
 |
Version: ---
|
 |
|
|
 |
|
Verfasst am: 04.04.2008, 10:07
Titel:
|
 |
nochmal zu den benötigten Gleichungen.
Ich kann einen Winkel auslesen und muss diesen in eine Kraft umwandeln, die dann der Winkelvergrößerung entgegenwirkt.
Damit komm ich auf folgende Gleichung:
F=m x r x alpha (alpha ist meine Winkelbeschleunigung)
Die Formel stammt aus der Drehimpulserhaltung...
Ich hoff damit liege ich richtig
http://syli04.physik.uni-bonn.de/Le...../nebenfach/Kapitel361.pdf
ist der Link mit dem das System eigentl denk ich beschrieben wird.
Oder ?
|
|
|
|
|
|
|
Einstellungen und Berechtigungen
|
|
Du kannst Beiträge in dieses Forum schreiben. Du kannst auf Beiträge in diesem Forum antworten. Du kannst deine Beiträge in diesem Forum nicht bearbeiten. Du kannst deine Beiträge in diesem Forum nicht löschen. Du kannst an Umfragen in diesem Forum nicht mitmachen. Du kannst Dateien in diesem Forum posten Du kannst Dateien in diesem Forum herunterladen
|
|
Impressum
| Nutzungsbedingungen
| Datenschutz
| FAQ
| RSS
Hosted by:
Copyright © 2007 - 2026
goMatlab.de | Dies ist keine offizielle Website der Firma The Mathworks
MATLAB, Simulink, Stateflow, Handle Graphics, Real-Time Workshop, SimBiology, SimHydraulics, SimEvents, and xPC TargetBox are registered trademarks and The MathWorks, the L-shaped membrane logo, and Embedded MATLAB are trademarks of The MathWorks, Inc.
|
|