|
|
|
Probleme mit einer Summenfunktion (Sigma)! |
|
| Svenfie |

Forum-Newbie
|
 |
Beiträge: 3
|
 |
|
 |
Anmeldedatum: 08.05.14
|
 |
|
 |
Wohnort: ---
|
 |
|
 |
Version: ---
|
 |
|
|
 |
|
Verfasst am: 08.05.2014, 19:14
Titel: Probleme mit einer Summenfunktion (Sigma)!
|
 |
Hallo liebe Foren-User,
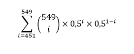
heute hatten wir in Mathemtik eine Aufgabe, die ein handelsüblicher Taschenrechner nicht mehr schafft.
Es handelt sich um eine Bernoulli-Wahrscheinlichkeit. Im Anhang habe ich mal die Funktion hochgeladen.
Nun wollte ich diese Aufgabe mit MatLab lösen:
Ich wollte eine for-Schleife laufen lassen mit dem Index der Sigma-Funktion und die Ergebnisse summieren.
Jedoch klappt das nicht so einfach bei mir.
Falls es einen Befehl gerade für dieses Schema gibt würdet ihr mir sehr helfen!
Andererseits wäre es auch sehr net von euch, wenn ihr mir einen kleinen Lösungsansatz (oder auch die Lösung) für die Schleife geben würdet.
Mit freundlichen Grüßen,
Sven
| Beschreibung: |
|
 Download |
| Dateiname: |
Funktion.PNG |
| Dateigröße: |
2.67 KB |
| Heruntergeladen: |
273 mal |
|
|
|
|
|
|
| Jan S |

Moderator
|
 |
Beiträge: 11.057
|
 |
|
 |
Anmeldedatum: 08.07.10
|
 |
|
 |
Wohnort: Heidelberg
|
 |
|
 |
Version: 2009a, 2016b
|
 |
|
|
 |
|
Verfasst am: 08.05.2014, 23:08
Titel: Re: Probleme mit einer Summenfunktion (Sigma)!
|
 |
Hallo Svenfie,
Wenn Du Hilfe beim Lösen Deiner Hausaufgabe brauchst, poste bitte Deinen Code und stelle konkrete Fragen dazu. Wir werden sicher nicht Deine Hausaufgaben lösen, denn das wäre ja nicht wirklich hilfreich.
Viele Grüße, Jan
|
|
|
|
|
|
|
Einstellungen und Berechtigungen
|
|
Du kannst Beiträge in dieses Forum schreiben. Du kannst auf Beiträge in diesem Forum antworten. Du kannst deine Beiträge in diesem Forum nicht bearbeiten. Du kannst deine Beiträge in diesem Forum nicht löschen. Du kannst an Umfragen in diesem Forum nicht mitmachen. Du kannst Dateien in diesem Forum posten Du kannst Dateien in diesem Forum herunterladen
|
|
Impressum
| Nutzungsbedingungen
| Datenschutz
| FAQ
| RSS
Hosted by:
Copyright © 2007 - 2026
goMatlab.de | Dies ist keine offizielle Website der Firma The Mathworks
MATLAB, Simulink, Stateflow, Handle Graphics, Real-Time Workshop, SimBiology, SimHydraulics, SimEvents, and xPC TargetBox are registered trademarks and The MathWorks, the L-shaped membrane logo, and Embedded MATLAB are trademarks of The MathWorks, Inc.
|
|