|
|
|
Programmieren einer Summenformel |
|
| dabauer82 |

Forum-Century
|
 |
Beiträge: 184
|
 |
|
 |
Anmeldedatum: 21.03.08
|
 |
|
 |
Wohnort: ---
|
 |
|
 |
Version: R2008a, R2010b
|
 |
|
|
 |
|
Verfasst am: 08.02.2011, 15:44
Titel: Programmieren einer Summenformel
|
 |
Hallo,
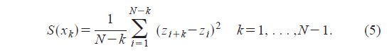
ich habe die Formel aus dem Bild versucht in Matlab zu programmieren.leider stimmt das Ergebnis nicht mit den Erwartungen überein.
Habe ich was falsch gemacht?
| Beschreibung: |
|
 Download |
| Dateiname: |
Formel.jpg |
| Dateigröße: |
5.22 KB |
| Heruntergeladen: |
2147 mal |
|
|
|
|
|
|
| Harald |

Forum-Meister
|
 |
Beiträge: 24.502
|
 |
|
 |
Anmeldedatum: 26.03.09
|
 |
|
 |
Wohnort: Nähe München
|
 |
|
 |
Version: ab 2017b
|
 |
|
|
 |
|
Verfasst am: 08.02.2011, 23:10
Titel:
|
 |
Hallo,
kurze Antwort: ja, du hast was falsch gemacht.
lange Antwort: das ist für jedes k eine Summe, du berechnest aber eine Doppelsumme.
Im Code:
Jetzt wäre es natürlich noch schön, wenn du das ganze vektorisierst, sprich: den SUM-Befehl verwendest, anstatt das bröckchenweise aufzusummieren.
Grüße,
Harald
P.S.: Martin hat eine Umgebung für die Implementierung von Formeln eingebaut. Er freut sich sicher, wenn das auch genutzt wird
[ math ] Formel [ /math ] (ohne Leerzeichen)
_________________
1.) Ask MATLAB Documentation
2.) Search gomatlab.de, google.de or MATLAB Answers
3.) Ask Technical Support of MathWorks
4.) Go mad, your problem is unsolvable ;)
|
|
|
|
| dabauer82 |
Themenstarter

Forum-Century
|
 |
Beiträge: 184
|
 |
|
 |
Anmeldedatum: 21.03.08
|
 |
|
 |
Wohnort: ---
|
 |
|
 |
Version: R2008a, R2010b
|
 |
|
|
 |
|
Verfasst am: 09.02.2011, 09:21
Titel:
|
 |
|
|
|
|
|
|
Einstellungen und Berechtigungen
|
|
Du kannst Beiträge in dieses Forum schreiben. Du kannst auf Beiträge in diesem Forum antworten. Du kannst deine Beiträge in diesem Forum nicht bearbeiten. Du kannst deine Beiträge in diesem Forum nicht löschen. Du kannst an Umfragen in diesem Forum nicht mitmachen. Du kannst Dateien in diesem Forum posten Du kannst Dateien in diesem Forum herunterladen
|
|
Impressum
| Nutzungsbedingungen
| Datenschutz
| FAQ
| RSS
Hosted by:
Copyright © 2007 - 2026
goMatlab.de | Dies ist keine offizielle Website der Firma The Mathworks
MATLAB, Simulink, Stateflow, Handle Graphics, Real-Time Workshop, SimBiology, SimHydraulics, SimEvents, and xPC TargetBox are registered trademarks and The MathWorks, the L-shaped membrane logo, and Embedded MATLAB are trademarks of The MathWorks, Inc.
|
|