WICHTIG: Der Betrieb von goMatlab.de wird privat finanziert fortgesetzt. - Mehr Infos...

Mein MATLAB Forum - goMatlab.de

Mein MATLAB Forum

 
Gast > Registrieren       Autologin?   

Partner:




Forum
      Option
[Erweitert]
  • Diese Seite per Mail weiterempfehlen
     


Gehe zu:  
Neues Thema eröffnen Neue Antwort erstellen

Programmierung Polygon mit Loch

 

jens1109
Forum-Newbie

Forum-Newbie


Beiträge: 3
Anmeldedatum: 14.03.16
Wohnort: ---
Version: ---
     Beitrag Verfasst am: 14.03.2016, 17:23     Titel: Programmierung Polygon mit Loch
  Antworten mit Zitat      
Hallo,
wir haben zur Zeit die Aufgabe ein Polygon (frei wählbar) mit einem beliebigen "Loch" zu erzeugen und zu Plotten im ersten Schritt. Ich bin ein Neuling auf dem Gebiet von Matlab. Ein Polygon erzeugen ist kein Problem, aber das Loch bekomme ich leider nicht hin.

Vielen Dank schon mal für eure Hilfe.
Gruß
Jens
Private Nachricht senden Benutzer-Profile anzeigen


Winkow
Moderator

Moderator



Beiträge: 3.842
Anmeldedatum: 04.11.11
Wohnort: Dresden
Version: R2014a 2015a
     Beitrag Verfasst am: 14.03.2016, 18:38     Titel:
  Antworten mit Zitat      
meinst du polybool ?
_________________

richtig Fragen
Private Nachricht senden Benutzer-Profile anzeigen
 
jens1109
Themenstarter

Forum-Newbie

Forum-Newbie


Beiträge: 3
Anmeldedatum: 14.03.16
Wohnort: ---
Version: ---
     Beitrag Verfasst am: 14.03.2016, 20:37     Titel:
  Antworten mit Zitat      
Hallo,
mein Fehler geht um ein polygonzug-berandetes Gebiet das wir erstellen sollen. In welchem dann noch ein Loch vorhanden sein soll.
Private Nachricht senden Benutzer-Profile anzeigen
 
Nras
Forum-Meister

Forum-Meister


Beiträge: 608
Anmeldedatum: 21.02.12
Wohnort: ---
Version: 7.12.0.635 (R2011a)
     Beitrag Verfasst am: 14.03.2016, 20:51     Titel:
  Antworten mit Zitat      
Ist ein "Loch" in diesem Sinne vielleicht ein kleines Polygon, das vollständig in dem gößeren Polygon liegt?
Private Nachricht senden Benutzer-Profile anzeigen
 
jens1109
Themenstarter

Forum-Newbie

Forum-Newbie


Beiträge: 3
Anmeldedatum: 14.03.16
Wohnort: ---
Version: ---
     Beitrag Verfasst am: 15.03.2016, 00:24     Titel:
  Antworten mit Zitat      
Sorry für die Verwirrung und ja es ist ein kleineres Polygon was im inneren des ausgangs Polygon liegt.
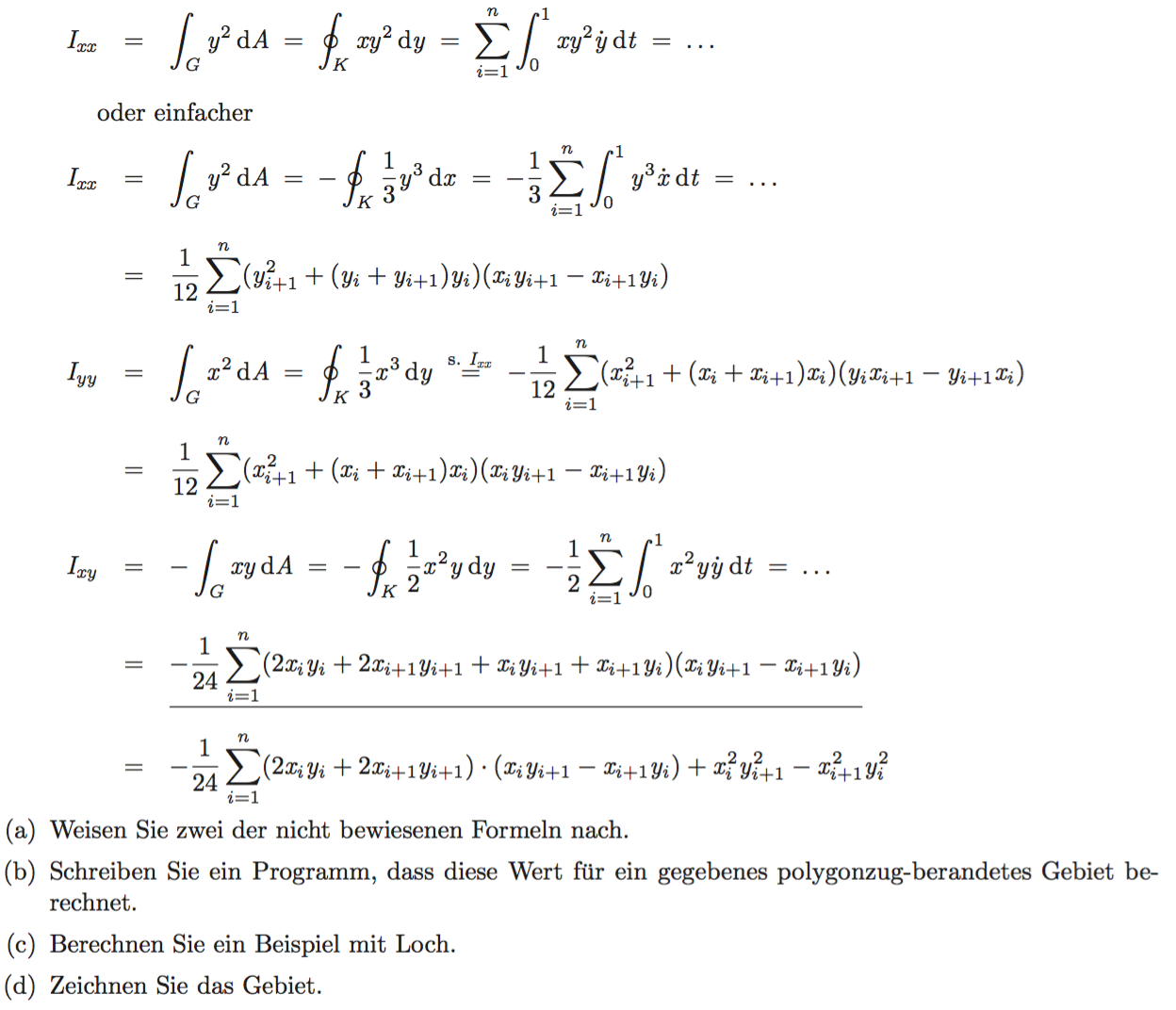
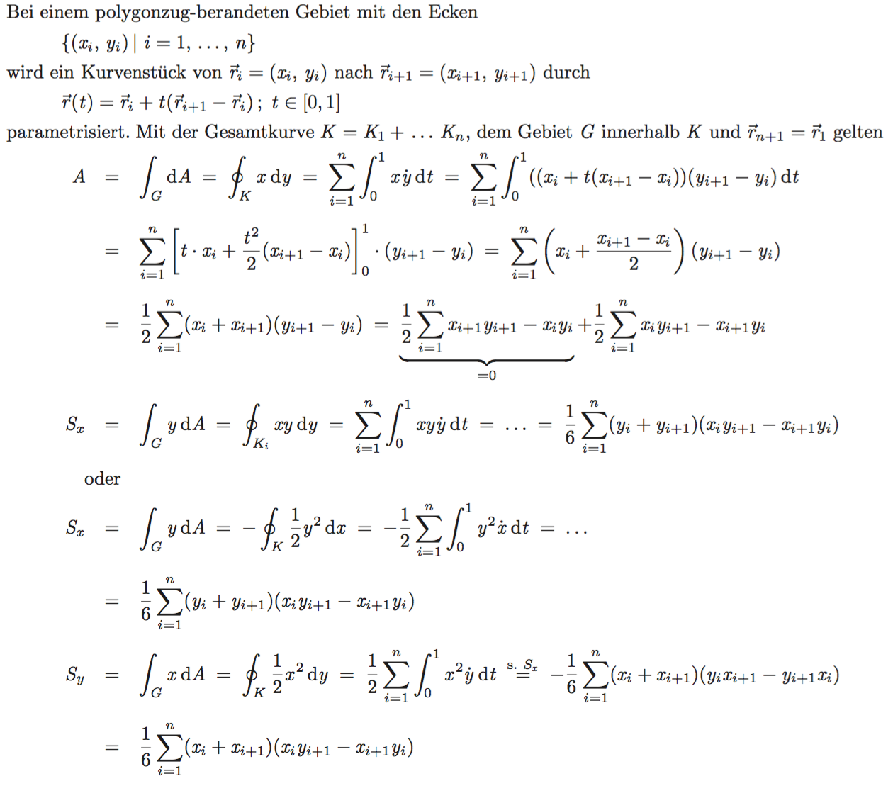
Hier unsere Aufgabenstellung befindet sich im Anhang, ich hoffe das ihr mir damit weiterhelfen könnt.

Hier schon mal unser Entwurf des ersten Teils:

Code:
function [ A,Sy,Sx,Ixx,Iyy,Ixy ] = Polyon( m )

A=0;
Sy=0;
Sx=0;
Ixx=0;
Iyy=0;
Ixy=0;


n=size(m,1);
m=[m;m(1,1:2)];
for i=1:1:n

 A=A+(1/2)*(m(i,1)*m(i+1,2)-m(i+1,1)*m(i,2));

 Sy=Sy+(1/6)*((m(i,1)+m(i+1,1))*(m(i,1)*m(i+1,2)-m(i+1,1)*m(i,2)));

Sx=Sx+(1/6)*((m(i,2)+m(i+1,2))*((m(i,1)*m(i+1,2)-m(i+1,1)*m(i,2))));

Ixx=Ixx+1/12*(m(i+1,2)^2+(m(i,2)+m(i+1,2))*m(i,2))*(m(i,1)*m(i+1,2)-m(i+1,1)*m(i,2));

Iyy=Iyy+(1/12)*(m(i+1,1)^2+(m(i,1)+m(i+1,1))+m(i,1))*(m(i,1)*m(i+1,2)-m(i+1,1)*m(i,2));

Ixy=Ixy - (1/24)*((2*m(i,1)*m(i,2)+2*m(i+1,1)*m(i+1,2))*(m(i,1)*m(i+1,2)-m(i+1,1)*m(i,2))+(m(i,1)^2)*(m(i+1,2)^2)-(m(i+1,1)^2)*(m(i,2)^2));

plot(m(1:end,1),m(1:end,2))

end

A=A
Sy=Sy
Sx=Sx
Ixx=Ixx
Iyy=Iyy
Ixy=Ixy

end


[EDITED, Jan, Bitte Code-Umgebung verwenden - Danke!]

Bildschirmfoto 2016-03-14 um 23.21.20.png
 Beschreibung:

Download
 Dateiname:  Bildschirmfoto 2016-03-14 um 23.21.20.png
 Dateigröße:  308.4 KB
 Heruntergeladen:  321 mal
Bildschirmfoto 2016-03-14 um 23.21.03.png
 Beschreibung:

Download
 Dateiname:  Bildschirmfoto 2016-03-14 um 23.21.03.png
 Dateigröße:  345.56 KB
 Heruntergeladen:  377 mal
Private Nachricht senden Benutzer-Profile anzeigen
 
Neues Thema eröffnen Neue Antwort erstellen



Einstellungen und Berechtigungen
Beiträge der letzten Zeit anzeigen:

Du kannst Beiträge in dieses Forum schreiben.
Du kannst auf Beiträge in diesem Forum antworten.
Du kannst deine Beiträge in diesem Forum nicht bearbeiten.
Du kannst deine Beiträge in diesem Forum nicht löschen.
Du kannst an Umfragen in diesem Forum nicht mitmachen.
Du kannst Dateien in diesem Forum posten
Du kannst Dateien in diesem Forum herunterladen
.





 Impressum  | Nutzungsbedingungen  | Datenschutz | FAQ | goMatlab RSS Button RSS

Hosted by:


Copyright © 2007 - 2026 goMatlab.de | Dies ist keine offizielle Website der Firma The Mathworks

MATLAB, Simulink, Stateflow, Handle Graphics, Real-Time Workshop, SimBiology, SimHydraulics, SimEvents, and xPC TargetBox are registered trademarks and The MathWorks, the L-shaped membrane logo, and Embedded MATLAB are trademarks of The MathWorks, Inc.