|
|
|
Proportionalitätsfaktor durch Steigung berechnen |
|
| felifa |

Forum-Anfänger
|
 |
Beiträge: 24
|
 |
|
 |
Anmeldedatum: 14.03.17
|
 |
|
 |
Wohnort: ---
|
 |
|
 |
Version: ---
|
 |
|
|
 |
|
Verfasst am: 10.04.2017, 12:46
Titel: Proportionalitätsfaktor durch Steigung berechnen
|
 |
| |
 |
|
Hallo Forumsmitglieder,
Ich steh gerade voll auf dem Schlauch, was die Berechnung des Proportionalitätsfaktors angeht....
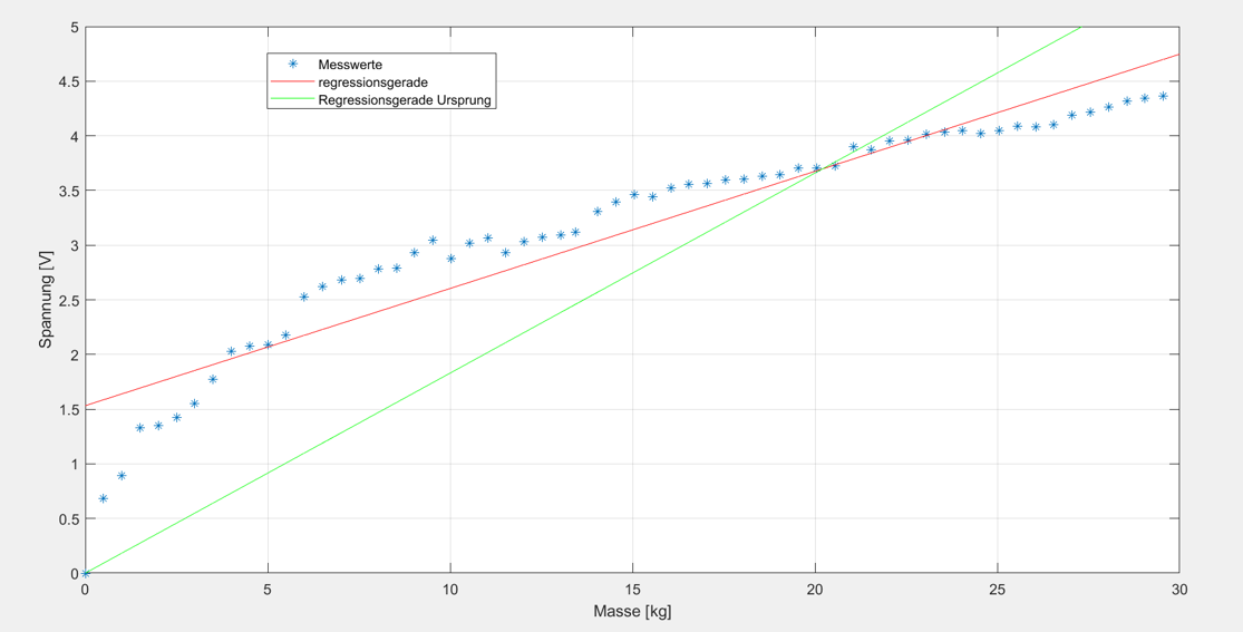
Ich verwende gerade FSR Sensoren, denen ich durch eine Kalibrierungsmessung Masse zu einer Spannung zuordne, um mir später beim Messen die Masse ausrechnen zu können. Ich habe schon die Regressionsgerade erstellt, einmal sodass sie durch den Ursprung läuft und einmal nicht:
Jetzt wollte ich mir den Proportionalitätsfaktor ausrechnen, der eigentlich der Steigung entspricht. Dazu habe ich deltax/deltay=k gerechnet, da ich ja Masse/Spannung berechnen möchte. Jetzt zu meiner Frage:
Warum bekomme ich bei der Regressionsgerade, die nicht durch den Ursprung geht das Ergebnis 9,3352 kg/V heraus und bei der eigentlich steileren, die durch den Ursprungverläuft 5,4654kg/V? Welches Ergebnis ist das realere? Ich stehe da gerade voll auf der Leitung und bin über jede Hilfe dankbar
| Beschreibung: |
|
 Download |
| Dateiname: |
Regressionslinie.png |
| Dateigröße: |
69.61 KB |
| Heruntergeladen: |
394 mal |
|
|
|
|
|
|
| AKNOT |

Forum-Century
|
 |
Beiträge: 129
|
 |
|
 |
Anmeldedatum: 12.10.11
|
 |
|
 |
Wohnort: Bochum
|
 |
|
 |
Version: R2018a
|
 |
|
|
 |
|
Verfasst am: 10.04.2017, 13:30
Titel:
|
 |
Hi,
eine Geradenfunktion, die nicht durch den Ursprung geht ist nicht proportional. Eine proportionale Funktion ist immer y = mx mit dem Proportionalitätsfaktor m.
Gruß
|
|
|
|
| felifa |
Themenstarter

Forum-Anfänger
|
 |
Beiträge: 24
|
 |
|
 |
Anmeldedatum: 14.03.17
|
 |
|
 |
Wohnort: ---
|
 |
|
 |
Version: ---
|
 |
|
|
 |
|
Verfasst am: 10.04.2017, 13:56
Titel:
|
 |
Hi,
Vielen lieben Dank
|
|
|
|
|
|
|
Einstellungen und Berechtigungen
|
|
Du kannst Beiträge in dieses Forum schreiben. Du kannst auf Beiträge in diesem Forum antworten. Du kannst deine Beiträge in diesem Forum nicht bearbeiten. Du kannst deine Beiträge in diesem Forum nicht löschen. Du kannst an Umfragen in diesem Forum nicht mitmachen. Du kannst Dateien in diesem Forum posten Du kannst Dateien in diesem Forum herunterladen
|
|
Impressum
| Nutzungsbedingungen
| Datenschutz
| FAQ
| RSS
Hosted by:
Copyright © 2007 - 2026
goMatlab.de | Dies ist keine offizielle Website der Firma The Mathworks
MATLAB, Simulink, Stateflow, Handle Graphics, Real-Time Workshop, SimBiology, SimHydraulics, SimEvents, and xPC TargetBox are registered trademarks and The MathWorks, the L-shaped membrane logo, and Embedded MATLAB are trademarks of The MathWorks, Inc.
|
|